近日,国际学术期刊《Frontiers in Cardiovascular Medicine》刊出了复旦大学附属中山医院心内科葛均波院士团队的戴能博士与韩国三星医疗中心Joo Myung Lee教授联合发表的《解剖和血流动力学斑块特征预测后续冠状动脉事件的预后研究》,肯定了基于冠状动脉CTA所评估的不良斑块特征(HRPCs)和血流动力学参数(FFRCT、△FFRCT和缺血性心肌质量百分比)在预测冠状动脉不良事件中的临床意义,研究表明:HRPCs和血流动力学参数对冠状动脉事件的预测能力高于传统临床危险因素,其中,△FFRCT是最有力的预测因子。
Joo Myung Lee
戴能
DESTINY研究旨在探究基于冠脉CTA的高危斑块特征(HRPCs)和血流动力学参数的联合分析对未来冠脉不良事件的预测价值。
研究回顾:
如何精准评估患者预后风险?
▼▼▼
及时识别高危病变并准确预测患者未来发生不良事件的风险,对于制定精准、安全、有效的个体化治疗方案来说十分关键。
在以往的临床实践中,冠心病的诊断和治疗策略的制定主要依据的是传统的冠脉造影所见的血管直径狭窄程度。而随着对冠脉病变理解的深入,以及近年来腔内影像学检查和冠脉生理学检查技术的进步,我们发现,除了血管直径狭窄程度,病变斑块的解剖学特征和冠脉的功能学改变对于冠心病患者的临床预后有着非常重要的影响,二者可从不同的角度为患者预后风险的评估提供关键信息,并指导制定治疗方案。
尽管解剖学方面的HRPCs在预测冠脉不良事件方面具有一定的应用价值,但是解剖学指标无法评价病变的生理学意义,无法判断病变所导致的灌注区域的缺血程度,因此通过生理学检查明确冠脉的功能学改变情况具有其不可替代的价值。
从传统有创到新型无创:新的纪元
▼▼▼
既往易损、易破裂的HRPCs的评估和代表冠脉功能学状态的血流动力学指标的测量均依靠的是有创检查手段,操作复杂、耗时较长且价格昂贵,其临床应用受到一定的限制。随着冠状动脉CT血管造影(CTA)和计算流体动力学(CFD)领域的逐步发展,有望在临床实践中通过无创的检查手段对冠心病患者的斑块的解剖学和组织学特征和血流动力学意义进行综合性评估。
FFR(血流储备分数)是反映血管供血功能的重要指标,能够对缺血情况做出准确且高效的评估,已有多项大规模临床试验证实FFR对PCI(经皮冠状动脉介入治疗)具有重要指导作用,目前已被公认为是评判冠脉狭窄是否引起功能性缺血的金标准。尽管FFR 的临床指导意义获得了广泛认可,但是检查时需要给药获得最大充血状态并将压力导丝送至目标病变远端等因素还是限制了FFR的临床应用。
基于AI和仿真技术的发展,CT-FFR作为一种全新的非侵入性的评估体系在心血管病医疗临床上得到了广泛的关注。
深圳睿心智能医疗科技有限公司自主研发的无创冠状动脉CT血流储备分数计算软件(RuiXin-FFR®, version 1.0)——睿心分数是目前全球范围内精准度最高的CT-FFR产品(准确度为92%),已完成全球同领域内最大规模前瞻性临床试验,是首个基于“AI人工智能深度学习”和“CFD流体力学”的CT-FFR产品,已于2021年4月在国内获批NMPA创新医疗器械三类认证。
睿心分数之于研究的意义
▼▼▼
本研究采用的是病例对照的研究设计,纳入的受试者分为ACS队列和阴性对照队列两组。研究中血流动力学参数是通过睿心分数进行计算测量的,主要包括三个指标:
每支血管FFRCT——FFRCT的定义为模拟充血条件下CFD分析得出的平均远端冠状动脉压(Pd)与主动脉压(Pa)之比
每病变△FFRCT——每个病变近端FFRCT值和远端FFRCT值的差值
每支血管缺血心肌质量百分比——血管FFRCT≤0.80处远端的心肌质量与整个血管段之间的比值
图1. 整体研究示意图:后续冠状动脉事件的血流动力学参数和斑块特征。FFRᴄᴛ,冠状动脉CT血流储备分数;HRPCs,高危斑块特征;MLA,最小腔面积。
研究对比了160支发生ACS事件的血管和329支未发生ACS事件的血管的解剖学和血流动力学特征。
结果显示:△FFRCT预测能力最强
▼▼▼
1.在斑块解剖学特征方面,与未发生冠状动脉事件的血管相比,发生冠状动脉事件的血管MLA更低和斑块负荷更高,并且低衰减斑块、MLA<4mm²、斑块负荷≥70%的比例明显更高。
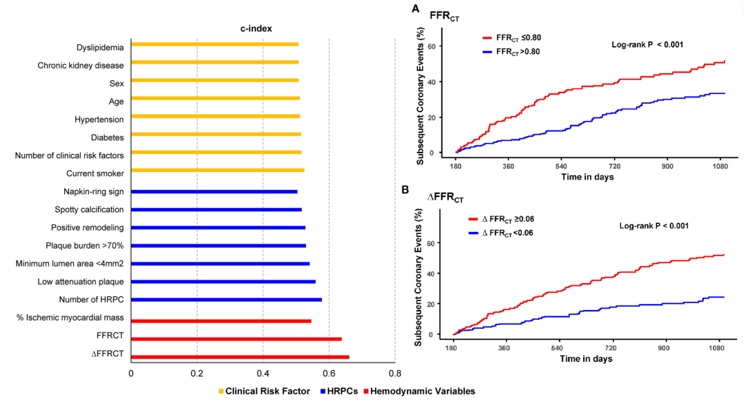
2.在血流动力学特征方面,与未发生冠状动脉事件的血管相比,发生冠状动脉事件的血管FFRᴄᴛ更低(0.76±0.13 vs. 0.82±0.11,P<0.001),△FFRᴄᴛ更高(0.14±0.12 vs. 0.09±0.08,P<0.001),缺血心肌质量百分比更高(29.0 ±18.5 vs. 26.0±18.4,P=0.022)。
3.进一步分析各因素对预后的预测价值发现,与单纯的临床危险因素(黄条)相比,单个HRPCs(蓝条)和血流动力学参数(红条)对未来冠状动脉事件具有更高的预测能力。在各个斑块解剖特征和血流动力学参数中,△FFRCT预测后续冠脉事件的C指数最高(0.661,95% CI: 0.609-0.712),即鉴别和再分类能力最强。
图3. 临床危险因素(黄条)、HRPCs(蓝条)和血流动力学参数(红条)对后续冠状动脉事件鉴别能力的比较。CI,置信区间;FFRCT,冠状动脉CT血流储备分数;HRPCs,高危斑块特征。
4.将缺血性心肌质量百分比、HRPCs、FFRCT和△FFRCT分别与传统临床危险因素组成不同预测模型后,对冠状动脉事件的预测能力成阶梯状逐步增加。与其他变量相比,△FFRCT结合临床危险因素的预测性能最高(P<0.001)。
图4. HRPCs和血流动力学参数对后续冠状动脉事件预后的影响。临床危险因素包括年龄、性别、高血压、糖尿病、血脂异常、慢性肾病和当前吸烟者。HRPCs包括低衰减斑块、正性重构、餐巾环征、点状钙化、最小管腔面积<4mm²或斑块负荷≥70%。FFRCT,冠状动脉CT血流储备分数;HRPCs,高危斑块特征。
CT-FFR:更精准指导治疗决策的依据之一
▼▼▼
研究证实了动脉粥样硬化斑块的解剖学和血流动力学特征对冠心病患者预后的预测值,并且在冠脉功能学状态不同的患者中,斑块的解剖学特征的预测价值有所不同。
准确的风险分层是精准的个体化治疗的先决条件,也是重点、难点。
该研究的结果证实了基于冠脉CTA评估的斑块的解剖学和血流动力学特征在识别高风险的斑块、预测临床不良事件方面的价值,提示我们基于冠脉CTA评估的斑块的解剖学和血流动力学特征可作为指导治疗决策的重要依据。
而研究中用到的血流动力学参数计算和测量软件——睿心分数,集“形态学”与“功能学”的评估功能于一体,其不但可基于无创的冠脉CTA图像分析斑块的解剖学特征,还能通过计算流体力学(CFD)仿真技术提供多维的血流动力学参数。除本研究中涉及的FFRCT、△FFRCT和缺血心肌质量百分比外,睿心分数还可提供的包括壁面剪切应力WSS、轴向斑块应力APS、狭窄敏感指数SSI等在内的多种斑块稳定性评估指标。
专家解读:
严道医声网特别邀请到中方团队研究主要负责人,复旦大学附属中山医院戴能博士围绕本项研究及相关话题进行解读。
严道医声网:首先请您介绍一下DESTINY研究主要揭示了哪些问题?
戴能博士:过去我们对冠脉CTA的应用更多局限于对血管狭窄的评估以及冠心病的相关诊断,随着技术发展,冠脉CTA可以提供更多维度的信息,包括狭窄程度、斑块负荷、最小管腔面积、高危斑块的一系列特征以及以CT-FFR为代表的血管功能学的一些指标,为更深入探索冠脉CTA在预测心血管事件方面的作用提供了更多可能。DESTINY系列研究就是围绕这个话题开展,研究结果发现,△FFRCT以及更大的缺血心肌质量和更多高危斑块的特征,都能够预测急性冠脉综合征发生,其中△FFRCT预测价值最高。
此外,我们在研究中有一个非常有趣的发现:在CT-FFR<0.8的患者当中,高危斑块不能够提高预测心血管事件的准确度,相反在CT-FFR>0.8的人群中,通过分析高危斑块可以进一步提高心血管事件预测的准确度;这也强调了在没有缺血证据的患者当中评估斑块稳定性的重要性。
严道医声网:能否请您谈谈开展这项研究的契机?
戴能博士:2020年发表在《新英格兰医学杂志》的一项研究结果表明,与最佳药物治疗相比,在药物治疗基础上进行介入治疗,并不能使伴有中、重度心肌缺血的稳定性冠心病患者获益,此结果使稳定性冠心病的介入治疗再次成为一个争议话题。我个人认为这并不意味着介入治疗的失败,而是提供了更深入思考的契机,去探索评估冠心病的新范式,DESTINY研究也是在这样的背景下开展,主要利用了冠脉CTA能够进行功能学、形态学一站式评估的特点,探索冠状动脉功能学与斑块形态学相结合对患者预后的判断价值。
严道医声网:CT-FFR作为一种全新的评估技术,您如何看待它在临床应用中所发挥的效用?
戴能博士:CT-FFR在临床应用中不需要额外采集图像,也不需要医生去改变采集图像的原始策略,只需要在拿到图像后,通过影像的后处理、血运动力学分析就能获得功能学的指标,它的一大优势就是无创,因此可以贯穿冠心病患者术前、术中以及术后的全程管理。
此外,其另一优势也在DESTINY研究中有所体现,CT-FFR结合了CTA的特征,除了能够进行分析,也能够在评估功能学的同时,一站式评估斑块的形态学,包括斑块稳定性、斑块分布、斑块炎症等多维度信息。当然,我们也需要知道CT-FFR的前提是获得冠脉CTA影像,而对于严重钙化或是图像质量不理想,以及无法完成冠脉CTA检查的患者而言,只能进行有创FFR检查,目前CT-FFR的循证医学证据还较少,仍需要通过临床应用不断积累。
严道医声网:团队是出于哪些考量选择在研究中使用睿心分数系统?结合您的实际体验,如何评价它在研究中所发挥的效用?
戴能博士:首先,中国心血管医生创新俱乐部(CCI)作为助力推动国内医学创新成果转化与产出的平台,许多本土创新项目在此生根发芽,睿心分数恰好是其中之一。
其次,DESTINY研究是一项关注患者预后的研究,在此前提下,必须确保研究中所使用技术的有效性以及诊断的准确度。在研究正式开始前,我们慎重考察了许多CT-FFR计算系统,通过与韩国研究团队以及睿心分数研究团队反复沟通,最终确认了技术的有效性;而睿心分数研究团队也会就我们提出的建议进行调整,所以通过综合考虑,最终选择睿心分数系统。最后的结果也证实了睿心分数计算的CT-FFR确实比较准确可靠,证实了它能够很好的预测急性冠脉综合征的风险。
严道医声网:相比于腔内影像学技术,冠状动脉功能学在评估中发挥的作用有哪些不同?
戴能博士:功能学往往告诉我们该不该血运重建,而腔内影像学会帮助我们更好的进行血运重建,我认为用“和而不同”的智慧来理解它们再恰当不过。表面来看两种检查似乎是完全不同的技术,但从本质来讲,它们的终极目标是一致的,而我们应用这些评估的最终目的都是为优化患者诊疗方案,改善患者预后。我相信随着时代发展会有更多新技术出现,这也要求每一位临床医生需要深刻理解每一项技术的原理和特点,才能对不同患者选择适合的评估手段。
专家简介
Joo Myung Lee
三星医疗中心
医学部,心血管与卒中研究所,临床助理教授。2013年获韩国首尔国立大学博士学位。自2016年起,Dr. Lee一直担任三星医疗中心的内科助理教授。研究领域包括介入心脏病学和侵入性生理评估,曾获得韩国心脏病学会年轻科学家奖。前期,Dr. Lee在心血管领域发表百余篇高水平学术论文,并长期与HeartFlow开展合作研究,2019年共同发表了EMERALD研究 [应用冠状动脉CT血管造影和计算流体动力学探讨急性冠状动脉综合征斑块破裂机制]。
戴能
复旦大学附属中山医院
心内科主治医师,博士后,哈佛大学联合培养博士。主要从事心血管影像及功能学相关研究。
主持国家自然基金1项,中国博士后科学基金1项,作为主要参与人参与科技部重点研发计划1项,国家自然基金3项、上海市科技引导项目1项。近年以第一作者或通讯作者在JAMA、JACC、JACC Cardiovascular Intervention, JACC cardiovascular imaging等杂志发表论文二十余篇。目前担任International Journal of Cardiology, BMC Cardiovascular Disorders等杂志审稿人,因为冠心病无创影像学诊断方面的研究于2013年获得“姜必宁奖——杰出青年心脏论文奖”, 2017年获得“美国心脏协会国际青年研究者奖(AHA International Young Investigator Award 2017)”。

