Circulation | 重磅研究!中国胸痛中心大数据揭示空气污染可迅速诱发ACS疾病!
图片
图片


图片

2022年4月22日,复旦大学附属中山医院葛均波院士、北京大学第一医院霍勇教授与复旦大学公共卫生学院阚海东教授团队利用胸痛中心大数据,揭示多种空气污染物短期暴露可迅速诱发急性冠脉综合征发作,研究成果在线发表于国际心血管领域著名期刊Circulation。研究题为“Hourly air pollutants and acute coronary syndrome onset in 1.29 million patients”,研究结果显示多种空气污染物的急性暴露可在极短时间(1小时)内诱发急性冠脉综合征(ACS)发作,效应可持续一日左右,相关效应在老年人群和冬季期间更强。该研究为空气污染危害人群心血管健康提供了强有力的流行病学证据,也可为空气污染治理和心血管疾病防治提供科学建议。

空气污染是心血管疾病发病与死亡的重要环境危险因素。我国是世界上空气污染问题较为严重的国家之一,同时面临着不断加重的心血管疾病负担。因此,积极探明空气污染对心血管事件的影响,识别潜在的易感性特征,在现阶段显得尤为必要。



图片

缺血性心脏病(IHD)是全球过早死亡的主要原因。据估计,2019年全球约有910万人死于IHD。ACS作为IHD的重要临床综合征,以冠状动脉粥样硬化斑块破裂或侵袭,继发完全或不完全闭塞性血栓形成为病理基础,是一种致命的心血管急症,给家庭和社会造成了沉重的负担。ACS包括ST段抬高型心肌梗死(STEMI)、非ST段抬高型心肌梗死(NSTEMI)和不稳定型心绞痛(UA)。既往流行病学证据表明,环境空气污染可能是引发ACS的重要风险因素。然而,这些研究往往存在以下不足:

  1. 这些研究多关注一到两种空气污染物对总ACS或STEMI的影响,可能导致发表偏倚;

  2. 相关研究结论尚不一致,尤其是对臭氧(O3)和粗颗粒物(PM2.5-10)能否升高ACS风险存在争议;

  3. 多采用时间序列研究设计,基于日发病或死亡数及污染物日均值进行统计分析,可能导致生态学偏倚,且同一天内的暴露与结局发生顺序难以确定,不利于因果推断。

因此,目前亟需基于小时水平数据开展个体病例交叉研究,系统地探索多种空气污染物短期暴露对ACS及其所有亚型急性发作的影响。


图片

中国心血管健康联盟-胸痛中心数据库于2015年开始建立,是具有全国代表性的多中心登记系统。与世界上的其他国家一样,我国胸痛中心主要致力于提高急性胸痛救治能力。截至2021年12月,全国共有2398个县级市、县、区行政区域启动胸痛中心建设,已实现县域96%覆盖。

本文基于该数据库2015年1月–2020年9月间的数据,在全国318座城市2,239家医院开展了一项个体水平的时间分层病例交叉研究(医院地理分布见图1),共纳入129万名ACS患者,其中,STEMI、NSTEMI与UA患者比例分别为36.8%,20.1%和43.1%。研究人员从距离就诊医院最近的环境监测站点获得6种主要空气污染物(细颗粒物,PM2.5;可吸入颗粒物,PM10;二氧化氮,NO2;二氧化硫,SO2;一氧化碳,CO;臭氧,O3的小时浓度,并以PM10与PM2.5的浓度差值作为PM2.5-10的浓度。该研究将分布滞后非线性模型(DLNM)与条件logistic回归模型相结合,同时在模型中控制温湿度和节假日,系统探索各种主要空气污染物小时暴露与ACS发病的关联以及时间滞后模式,并探索可能的敏感人群。

图片

图1. 研究纳入2,239家医院地理分布


图片

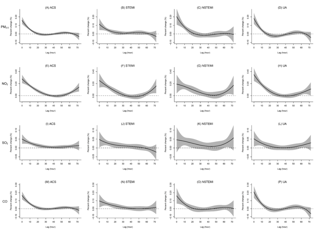
结果表明,PM2.5、NO2、SO2和CO短期暴露可显著升高ACS及其所有亚型急性发作的风险,相关效应出现于暴露当小时,随后效应逐渐减弱,直至约24小时后不具有统计学显著性(图2)。此外,未发现PM2.5-10及O3与ACS及任一亚型的关联。24小时内,PM2.5、NO2、SO2和CO浓度每升高1个四分位数间距(IQR),ACS发病累积风险分别增加1.32% (95%可信区间,95%CI: 1.07%–1.57%), 3.89% (95%可信区间: 3.41%–4.37%), 0.67% (95%可信区间: 0.47%–0.86%)和1.55% (95%可信区间: 1.22%–1.88%)。不同污染物对ACS不同亚型的影响程度略有差异,整体而言,NO2对三种亚型影响较强,PM2.5与CO次之,SO2较弱。

图片

图2. PM2.5、NO2、SO2及CO引起ACS及其亚型发病的时间滞后模式

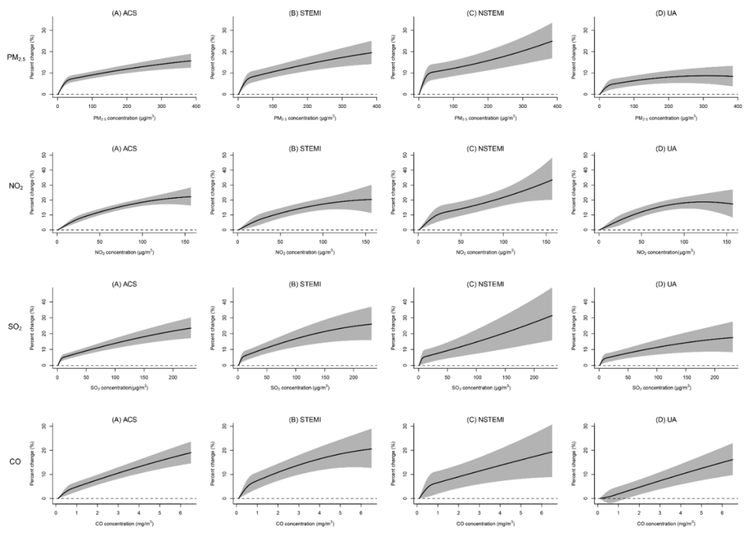
该研究还发现PM2.5、NO2、SO2和CO对ACS及其亚型发病的影响几乎呈现线性关系(图3),且没有明显的阈值。这表明,在研究期间的任何浓度下,这四种污染物均有可能升高ACS发作风险。因此,将空气污染暴露尽可能降至最低水平有助于预防ACS等急性心血管事件的发作。这一发现也有力地支持了世界卫生组织在《2021 年全球空气质量指南》中收紧空气质量目标。

图片

图3. PM2.5、NO2、SO2及CO与ACS及其亚型发病的浓度-反应关系曲线


分层分析进一步揭示,空气污染引起ACS发病的效应在老年人(65岁及以上)以及寒冷季节更强。因此,老年人群应该格外注意防范空气污染对心血管健康的影响,在日常生活中采取措施,降低自身空气污染暴露水平(例如,戴口罩、使用室内空气净化器、以及污染天气减少户外活动等),从而减少心血管事件的发生风险。此外,在寒冷季节下,政府部门也有必要建立相关的预警系统,降低空气污染对人群心血管健康的影响。

本研究基于胸痛中心全国数据库,首次系统地评估多种空气污染物小时水平暴露对ACS及其全部亚型发病的影响,为确证空气污染危害心血管健康提供了强有力的流行病学证据,也为我国未来修订环境空气质量标准和优化敏感人群的防护策略提供了新的理论依据。


图片

共同第一作者:复旦大学公共卫生学院陈仁杰教授、博士研究生姜宜萱与复旦大学附属中山医院心内科主治医师胡嘉禄博士。

共同通讯作者:复旦大学附属中山医院葛均波院士、北京大学第一医院霍勇教授与复旦大学公共卫生学院阚海东教授。

项目资助:该研究得到了国家自然科学基金(92043301、92143301与82030103)、上海市公共卫生三年行动计划(GWV-10.2-XD17与GWV-10.2-YQ11)、上海市徐汇区科学技术委员会(Q2020-012)等。



文章链接

https://www.ahajournals.org/doi/10.1161/CIRCULATIONAHA.121.057179


原文引用

Chen R, Jiang Y, Hu J, Chen H, Li H, Meng X, Ji JS, Gao Y, Wang W, Liu C, Fang W, Yan H, Chen J, Wang W, Xiang D, Su X, Yu B, Wang Y, Xu Y, Wang L, Li C, Chen Y, Bell ML, Cohen AJ, Ge J, Huo Y and Kan H. Hourly Air Pollutants and Acute Coronary Syndrome Onset In 1.29 Million Patients. Circulation, 2022. 


转自公众号:心血管健康联盟信息平台

阅读数: 746