严道资讯|EuroIntervention:经导管三尖瓣介入治疗的最佳患者选择

三尖瓣反流(TR)患者常常合并右心功能不全且预后不佳,且目前临床治疗措施还很有限。既往研究表明,经导管三尖瓣介入治疗(TTVI)可有效减轻TR程度,然而,TTVI术能否带来患者的直接临床获益,哪些患者适合进行TTVI,患者右心功能状态是否影响TTVI的临床获益,目前尚无相关报道。近日,发表在EuroIntervention的一篇文章就此进行了深入研究。

 研究目的 

(1)对于TR患者,TTVI能否比药物治疗更进一步降低患者死亡率;

(2)根据右心功能状态分层研究TTVI术的临床获益,明确TTVI术的最佳患者人群。

 研究设计 

实验组:多中心TriValve队列研究(TTVI队列)中行TTVI治疗的684例TR患者;
对照组:选自两大医学中心接受药物保守治疗的914例TR患者;
匹配方法:根据倾向性评分进行1:1匹配,最终纳入213对重度TR患者进行队列分析。纳入倾向性评分的变量包括:TAPSE, 年龄, EuroSCORE II, eGFR、LVEF、LVEDD、sPAP、是否接受血液透析、是否合并房颤/房扑、NYHA分级和 NT-proBNP。
分层方法:采用三尖瓣环状平面收缩期位移(TAPSE)对右心功能进行分层,依次为右心功能保留型(TAPSE >17 mm)、右心功能中间型(TAPSE 13-17 mm)和右心功能衰退型(TAPSE <13 mm)。
主要终点:随访一年的全因死亡率。

 研究结果 

1)研究人群基线特征
本项研究筛选来自TriValve队列研究中行TTVI治疗的684例TR患者和Charité/Berlin医学中心接受药物保守治疗的914例TR患者,合计入组患者850例。基线资料显示,相对于保守治疗组,TTVI组患者年龄更大,EuroSCORE II更高,左心功能(LVEF和LVEDD)更好,但右心功能(TAPSE)相对更差,合并房颤的比例更高但合并三尖瓣重度返流(MR≥3)和肺动脉高压(sPAP≥50mmHg)的比例更低。

2)相对于药物治疗,TTVI显著降低TR患者死亡率
将两组患者进行1:1匹配,最终纳入213对进行终点事件分析发现,随访一年以后,相对于药物治疗组,TTVI术可显著降低患者死亡率(25.4% VS 13.1%,P=0.031)(图1A);进一步分析发现,TTVI术的成功完成对降低死亡率具有决定性作用(P=0.007)(图1B)。进一步对比TTVI与药物治疗对临床预后的影响,发现无论患者是否合并重度三尖瓣返流(MR≥3),TTVI均能获得比药物治疗更好的预后改善(P值分别为0.001和0.006)(图1C)

图1 TTVI可显著降低TR患者死亡率

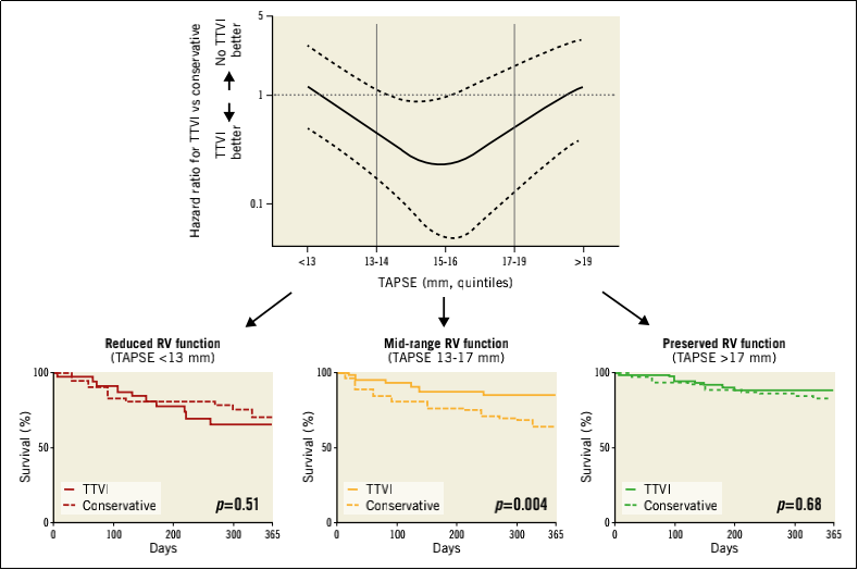
3)TTVI术最佳患者人群选择
本研究中发现,患者的右心功能状态(TAPSE)与TTVI预期临床获益之间呈非线性关系,对全体患者的分析发现,TTVI术并未观察到比药物治疗更好的临床获益(P=0.51)。进一步根据TAPSE对患者进行亚组分析显示,对于右心功能中间型(TAPSE 13-17 mm)的患者,TTVI可显著降低患者死亡率,与药物治疗组具有统计学差异(P=0.004)(图3)

图2 TAPSE分层研究TTVI预期获益之间的关系

生存分析结果显示,无论患者接受何种治疗方案,相对于右心功能正常组(TAPSE≥17mm),右心功能不全(TAPSE<17 mm)会显著降低患者预后(p log-rank 分别为0.032为0.020)(图4A、4B),而TTVI术可显著改善右心功能中间型患者的临床预后,使之达到与右心功能正常组相近水平(图4B)。针对右心功能中间型患者全因死亡相关因素分析发现,TTVI术成功实施、EuroSCORE II评分、 LVEF <40%、NT-proBNP和eGFR与全因死亡率相关,多因素分析显示TTVI术成功实施(HR 0.22; 95% CI 0.09-0.572)和EuroSCORE II评分(HR 1.10; 95% CI 1.01-1.20)是全因死亡的独立影响因素。

图3 右心功能对临床预后的影响及TTVI术的临床获益


 研究结论 

相对于药物治疗,TTVI可降低TR患者的死亡率,其中右心功能中间型的患者临床获益最为显著。

参考文献:

Schlotter F, Miura M, Kresoja KP, et al. Outcomes of transcatheter tricuspid valve intervention by right ventricular function: a multicentre propensity-matched analysis. EuroIntervention. 2021 May 5:EIJ-D-21-00191. Epub ahead of print.


阅读数: 1172