经导管主动脉瓣置换术(TAVR)是一项基于多项临床试验证据的治疗主动脉瓣狭窄的微创技术,然而与传统外科换瓣手术相比,有关TAVR远期临床预后的数据仍有限。PARTNER 2队列A试验是一项纳入了2032名中度手术风险的重度主动脉瓣狭窄患者,对比TAVR和外科换瓣术后结局的多中心、前瞻性、随机队列研究。该报道是PARTNER 2试验的5年随访结果分析,包括临床结局、瓣膜功能和生活质量的评估等。研究结果显示,在中度手术风险的重度主动脉瓣狭窄患者中,TAVR和外科换瓣术的5年死亡率和致残性卒中率无显著差异。

研究方法
该研究共纳入美国和加拿大57个中心从2011年12月到2013年11月共2032名主动脉瓣狭窄患者,按照1:1的匹配设计随机分配为TAVR组和外科手术组,其中TAVR组的手术入路(经股动脉或者经胸)的选择取决于影像学评估,使用的是第二代可膨胀球囊XT心脏瓣膜系统(Edwards Lifesciences),外科换瓣使用Edwards生物瓣,术后都推荐的口服药物包括阿司匹林和氯吡格雷(至少1个月)。主要终点事件包括全因死亡和致残性卒中,关键终点包括5年全因死亡率、致残性卒中率、再住院率、主动脉瓣再次介入率、NYHA分级和生活质量评估以及超声心动图评估瓣膜面积、返流等。在统计分析中,分类变量采用卡方检验或Fisher确切概率法,连续性变量采用t检验,主要终点和其它时间依赖性事件采用Kaplan–Meier分析和log-rank检验。
研究结果
患者的基线资料如表1,平均年龄81.6岁,平均STS风险评分5.8分,45.5%的患者为女性。TAVR组共700例(69.2%),手术组共679例(66.5%)有冠状动脉疾病,两组既往冠脉搭桥术(23.6%和25.6%)、既往PCI术(27.1%和27.6%)发生率都相似。5年的随访率,TAVR组为91.0%,外科手术组为81.4%,采用多重插补或线性混合效应模型和配对分析对缺失数据进行了敏感性分析。

表1.患者的基线资料特征
5年随访结果显示,没有证据表明TAVR组与外科手术组在因任何原因或致残性卒中而导致的复合终点死亡率方面存在显著差异(分别为47.9%和43.4%;HR,1.09;95%CI,0.95-1.25; P = 0.21),如表2、图1。

表2.随访2年和5年的临床终点

图1. 随访5年的主要终点时间-事件曲线
亚组分析中,经股动脉入路的TAVR组和外科手术组的死亡或致残性卒中发生率相似(分别为44.5%和42.0%; HR,1.02; 95%CI, 0.87 - 1.20),但是经胸入路的TAVR组死亡或致残性卒中发生率高于外科手术组(分别为59.3%和48.3%;HR,1.32; 95%CI, 1.02 - 1.71),除了入路之外,其它亚组分析显示的两组治疗效果没有异质性。
TAVR组和外科手术组中全因死亡率在总人群中分别为46.0%和42.1%,在经股动脉入路人群中分别为42.7%和40.5%,在经胸腔入路人群中为56.9%和47.3%,TAVR和手术组的5年受限平均生存时间相似(分别为46.3个月和46.6个月),死亡或致残性卒中终点的无事件受限平均时间(分别为45.0个月和44.8个月)。
其它的临床结局包括,再入院率[TAVR组比外科手术组更高(33.3%比25.2%;HR,1.28;95%CI, 1.07-1.53)],主动脉瓣再介入术[TAVR组中比在手术组中更常见(3.2%比0.8%;HR,3.28;95% CI,1.32-8.13)],TAVR组的再次干预原因主要是由于主动脉瓣的再狭窄和返流,外科手术组是因为感染性心内膜炎。在两组治疗中,主动脉瓣面积的初始增加和平均梯度降低的变化[如 图2(A、B)],在存活的患者中,超声心动图提示TAVR组有33.3%的患者出现轻度或更严重的主动脉瓣旁返流,手术组有6.3%[ 图2(C)]。TAVR术后中、重度主动脉瓣旁返流与5年总体死亡风险增加相关[ 图2(D)]。

图2.超声心动图检查随访结果
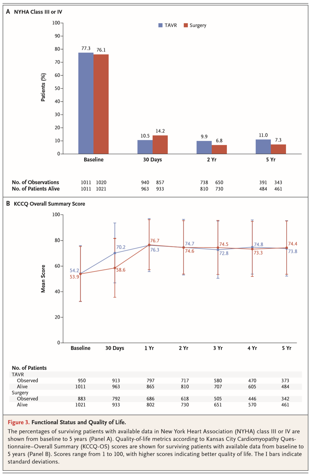
在现有资料的存活患者中,TAVR和手术均可改善患者的健康状况[包括NYHA心功能I级和II级,分别为89.0%和92.7%; KCCQ-OS评分较基线平均增加19.6分和20.5分(图3A和3B)],当患者按照KCCQ-OS评分的临床相关变化阈值进行分层时,在5年的时间里,没有证据表明TAVR组与手术组之间存在显著差异。

图3.功能状态和生活质量
结 论
1、在有中度手术风险的重度主动脉瓣狭窄患者中,TAVR术后5年死亡或致残卒中的发生率与主动脉瓣置换术相比无显著差异。
2、TAVR后瓣膜血流动力学与手术后相似(瓣膜面积更大,瓣膜梯度相似),但TAVR与轻度、中度或重度主动脉瓣旁返流的发生率较高。
3、在5年内,TAVR和外科手术在功能状态和疾病特异性生活质量方面有类似的改善。
4、在接受TAVR治疗的患者中,瓣膜再介入和再住院的频率高于外科换瓣手术患者。
5、亚组分析显示,经胸入路而非经股动脉入路的TAVR的疗效低于开胸手术。