慢性完全闭塞性病变(Chronic Total Occlusion, CTO)是冠心病介入治疗中的难点之一,随着医疗技术和器械的不断发展,CTO PCI技术也得到了显著的进步,CTO开通策略主要概括为正向导丝开通(antegrade wire escalation,AWE)、正向内膜下重回真腔(Antegrade Dissection Re-entry,ADR)、逆向导丝开通(reversal wire escalation,RWE)、逆向内膜下重回真腔(reversal dissection re-entry techniques,RDR)等技术。随着专用ADR专有器械的发展,ADR技术在CTO患者的正向开通中发挥着越来越重要的作用。空军军医大学西京医院李妍教授作为国内首批获得ADR独立术者认证医生,对近年ADR技术研究新进展进行逐一盘点(附参考文件截图),以期增进和加深对该技术的认识,为更多CTO患者带来获益。
一、ADR技术对长期预后的影响
1.ADR的不同方式对治疗和长期预后的影响

ADR已成为CTO正向开通的主要方法,包括导丝依赖的ADR,如内膜下寻-径重回真腔(STAR)、限制性正向内膜下寻径(LAST)等,以及专用器械CrossBoss/Stingray依赖的ADR技术。CTO采用不同ADR技术行PCI患者的疗效和预后的研究较少。

2016年Lorenzo Azzalini 等报道一项多中心注册的临床研究,纳入来自四个大型专业中心采用ADR技术行CTO PCI患者1160例。所有患者根据采用的ADR技术不同进行分组:STAR组(内膜下寻径重回真腔)、LAST组(限制性正向内膜下寻径技术)、CrossBoss/Stingray系统组。此研究共纳入223例患者(STAR组39例、LAST组68例、CrossBoss/Stingray组116例)。STAR组操作成功率和手术成功率(59%和59%)显著低于LAST组(96%和96%,P<0.05)和CrossBoss/Stingray组(89%和87%,P<0.05)。随访24个月,STAR组和LAST组MACE发生率显著高于CrossBoss/Stingray组(15.4% vs 17.5% vs 4.3%,P=0.02),TVR分别为7.7% 、15.5%、3.1%(P = 0.02)。多变量Cox回归分析表明,导丝依赖的ADR(STAR和LAST)技术与支架总长度是MACE的独立预测因子。采用ADR技术行PCI的CTO患者中,与CrossBoss/Stingray系统和LAST相比,STAR技术成功率低。CrossBoss/Stingray系统与导丝依赖的ADR技术相比,有较低的远期MACE及TVR发生率。
2.夹层再进入技术(DART)(包括ADR和RDR)随访1年疗效

杂交策略提升了CTO PCI的手术成功率,但是对患者长期预后效果尚不明确,尤其是对ADR技术是否会对患者临床结局和长期预后产生不良影响尚未得到一致共识。

2017年W. M. Wilson代表J.C. Spratt团队报道了来自 7个英国临床中心2012年至2014年成功开通CTO患者数据共969例,最终纳入805例,这是当代Hybrid策略开通CTO长期疗效的最大研究,所有术者均经过Hybrid策略培训。Hybrid策略鼓励快速转换,尽早启动导丝升级或ADR和RDR,后两种技术构成了一个整体,即夹层再进入技术(DART)。在成功进行手术的患者中,96%完成了12个月的随访(n=805),观察心绞痛状况和主要终点(死亡、心肌梗死、非预期目标血管血运重建)。其中有47%的CTO患者采用DART技术开通血管。AWE、ADR、RWE、RDR技术分别占48%、21%、5%以及26%。1年MACE发生率为8.6%(n=69),其中DART组发生率为10.3%(n=39/375),不依赖器械组为7.0%(n=30/430)。TLR为4.5%,显著低于既往报道的第二代DES时代6.3–10.7%以及第一代DES时代的17%。12个月无事件(死亡、MI、非计划的TVR)生存率高于90% 。 85%患者在CTO PCI治疗前CCS心绞痛等级为2~4级,随访时大多数患者没有或仅有轻微心绞痛(CCS等级0或1级)。随访1年不良事件发生率低,血管开通方法与不良结局无关,主要终点的唯一独立预测指标是病变长度。本研究表明大部分具有复杂CTO的患者,尤其是CABG术后CTO的患者,在现代器械及技术开通后,无论何种技术,可以获得较高的1年开通率及症状近乎完全缓解。
3.ADR技术及其衍生技术的在CTO hybrid策略中的价值及地位-RECHARGE研究

早期ADR技术中CrossBoss 和 Stingray在CTO患者治疗中无大规模数据。2017年5月发表的RECHARGE研究,是首个在更大队列中验证其临床结局、安全性和失败经验的研究,以评估ADR的应用价值,并确定其未来在CTO治疗中的地位。
在RECHARGE 研究中,共有23%(n=292/1253)的患者采用了ADR技术,多为复杂性病变(J-CTO评分为2.7±1.1)。30%(n=88/292)患者首选ADR技术,其中67%取得了手术成功。紧急ADR(Bail-out ADR)策略在63%(n=133/210)的患者中成功完成。控制性ADR(Controlled ADR,比如CrossBoss-Stingray依赖的hybrid策略)使用率(32%; n=93/292)和成功率(81%; n=75/93)最高。采用额外的bail-out策略后,病变部位总体成功率为78%(n=229/292)。导致失败的原因主要包括无法到达远端区域(n=48/100)和重回真腔(n=43/100)。ADR相关的主要并发症发生率为3.4%(n=10/292)。
ADR技术包括除了使用CrossBoss and Stingray系统以外,还有衍生的多种技术改良,也提示这是一组非常复杂的CTO病例。72%的病例需要做近端纤维帽的准备。Stingray重回真腔失败占28%。因此有时在实施计划性控制性ADR技术时使用了特殊的ADR亚型技术,包括导丝依赖的重回真腔技术mini-STAR及 bail-out LAST。后者是基于导丝位置不适合stingray球囊,例如在比较极端困难的解剖情况下无法重新导向导丝方向、钙化严重及较大的内膜下空间。在这些情况下,如果逆向条件不好,STAR or LAST 可以作为最后的尝试。
该研究说明ADR技术具有很好地有效性及安全性,ADR大约占到1/4的比例,合适条件下CrossBoss及Stingray系统作为首选策略成功率高(≈80%)。当近端纤维帽需要准备、严重钙化迂曲、远端着陆区存在弥漫病变时存在较多困难,ADR往往作为bail-out策略。ADR及其衍生技术的使用比例、临床结局以及低并发症发生率均证实了该技术在复杂CTO-PCI治疗中的优势和价值。
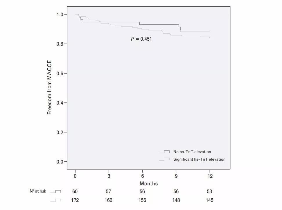
4.ADR术后高敏肌钙蛋白T(hs-TnT)水平升高,能否预测患者预后

hs-cTnT在CTO-PCI患者中预后价值分析尚不明确。2018年意大利Daan Cottens等报道纳入了2011年9月至2016年8月来自两家医疗中心进行择期CTO-PCI患者409例,均进行了hs-TnT检测。

发现CTO-PCI术后,多数患者85%(n = 349/409)hs-TnT升高,42%患者( 172/40)hs-TnT升高超过5倍。复杂病变与疾病(冠状动脉旁路移植术后,周围血管疾病,慢性肾病,心力衰竭和冠心病多支血管病变)以及复杂型CTO(J-CTO评分高)、采用RDR/ADR技术的患者中,hs-TnT升高比例更高。但随访1年后,hs-TnT无升高患者与术后hs-TnT升高患者相比,MACE事件无显著差异,包括任何升高(10.9 vs. 11.7%; P = 0.846)和升高超过5倍(15.7 vs. 11.7%; P = 0.451; HR = 1.375, CI: 0.599-3.157, P = 0.453)。hs-TnT升高超过5倍与无升高相比,尽管死亡率有增加趋势,但无显著统计学差异(4.7 vs. 0%; P = 0.091)。 CTO-PCI患者治疗后常出现hs-TnT升高,但是与1年随访的MACCE事件发生率和死亡率无关,提示肌钙蛋白升高对患者的长期预后影响有限。
李妍教授点评:ADR已经成为复杂CTO开通的主流技术之一,主要包括导丝based ADR,如内膜下寻径重回真腔(STAR)、限制性正向内膜下寻径(LAST)等,以及专用器械CrossBoss/Stingray-based ADR技术,熟练CTO术者应灵活应用各种技术。DART技术(ADR与RDR),1年随访无事件生存率及血管开通率较高,临床症状近乎完全缓解。尽管DART术后 cTnT升高显著,目前研究1年随访的MACCE事件发生率和死亡率并无显著增高,提示围术期肌钙蛋白升高对患者的长期预后影响有限。
二、ADR技术及其他CTO开通技术的比较
1. CrossBoss系统与AWE的比较:CROSSBOSS是否应该作为CTO第一选择?

CrossBoss具有成功率高、可控性强以及血管损伤小等优势,但是其临床数据还相对缺乏。
2018年Judit Karacsonyi等采用多中心随机对照研究,比较优先使用CrossBoss系统或优先使用正向导丝开通(AWE)会对CTO患者手术与远期预后造成哪些影响。主要终点是慢性完全闭塞穿刺或停止手术所需的时间以及主要心血管不良事件的发生频率。次要观察终点是手术和治疗成功率、总治疗时间、X线透视时间、空气辐射剂量、造影剂体积以及器械使用。该研究纳入了2015-2017年美国11个中心246名CTO患者,分为优先使用CrossBoss组与正向导丝开通(AWE)组。两组手术成功率和治疗成功率分别为87.8%和84.1%,两组间均无显著差异,CrossBoss 组穿刺时间为56 min(33 ~ 93 min),AWE 组穿刺时间为66min(36 ~ 105 min),两组间无显著差异(p = 0.323)。治疗期间MACE时间发生率分别为3.28% 和 4.03%,差别无显著意义(p = 1.000)。次要观察指标间均无显著差异。与AWE对比,优先使用CrossBoss方法对于穿刺时间、成功率、设备使用和成本均无显著影响。同时也提示CROSSBOSS及AWE方法安全性相似。作者分析其未达到统计学差异的原因可能与一些因素有关。例如22%的随机到CrossBoss组的患者是首先尝试导丝技术才送入CROSSBOSS,而不是直接高速旋转CROSSBOSS通过,以及样本量较小等。
2. ADR与其他技术不良事件率比较——PROGRESS-CTO研究的更新

2018年Peter Tajti报道了PROGRESS-CTO研究的最新进展,该研究共纳入美国、英国以及俄罗斯20个中心3055例患者,共有3122处病变进行了CTO干预。纳入患者平均年龄为(65 ± 10)岁,其中85%患者为男性,其中43%为糖尿病,46%为陈旧性心肌梗死,33%为冠状动脉旁路移植术后,65%为PCI术后。CTO病变血管中,右冠状动脉占24%、左冠状动脉占20%。平均J-CTO评分为(2.4 ± 1.3),平均PROGRESS CTO评分为(1.3 ± 1.0)。其中ADR技术占20.9%。正向导丝开通成功占52.0%,逆向导丝开通成功占27.1%, 40.9%患者开通次数>1次。造影剂用量中位数270 ml (200 ~ 360 ml)、、空气辐射剂量2.9 Gy (1.7 ~ 4.7 Gy), 123 min ( 81 ~ 188 min) and 、透视时间47 min (29 ~ 77 min)。总体手术和治疗成功率分别为87%和85%,住院期间主要并发症发生率为3.0%。MACE及穿孔发生率在AWE及ADR组更低。

李妍教授点评:CROSSBOSS优先(first)or 最后(last)使用孰优孰劣仍然存在争议。CROSSBOSS first研究尽管未能证实优先使用CROSSBOSS/ Stingray系统可整体提高效率及成功率,但证实其安全性良好。欧美、英国等大的医疗中心中ADR技术比例大约为20%-25%,对于适合实施ADR的CTO类型及复杂型CTO,优先或尽早启动ADR可显著提高效率与成功率,且MACE及穿孔发生率较低。
三、ADR技术新拓展与新尝试
1.CABG术后native CTO病变开通新方法——Faciliated ADR

冠状动脉旁路移植术后患者CTO-PCI仍是一个挑战。使用SVG作为逆行通路来重新开通de novo闭塞血管是一种广泛应用的方法。但是,如果CTO远端纤维帽恰好接近或位于SVG吻合口处,则是很大的挑战。2016年Simon J. Walsh及Colm G. Hanratty团队报道了一种新的技术Facilitated-ADR技术。

首先经SVG送入球囊到远端着陆区,作为Stingray重回真腔的靶点,第二步导丝经native闭塞段进入内膜下,然后送入stingray球囊至与(腔内)球囊平行的内膜下间隙,扩张腔内球囊以获得最大的重回真腔的空间,使用Stingray穿刺导丝通过组织平面以“刺破”球囊。回抽腔内球囊,穿刺导丝进入真腔,更换工作导丝完成手术。该技术的具有易用性和适用性,提高了冠状动脉搭桥术后CTO PCI的手术成功率。改良ADR技术直接解决了以往冠状动脉旁路移植术患者失败率较高的一些问题,主要包括造影剂、辐射暴露和手术时间过长等问题。
2.新一代Stingray LP在CTO开通中的经验和可行性

Jo Dens团队2017年首次报道了Stingray LP使用经验。 ADR在CTO治疗中,第一代Stingray球囊需要直径较大8F指引导管,增加了穿刺相关并发症以及桡动脉通路损伤。较小的鞘管直径需要长导丝(300cm),或者延长导丝以推进或移除导管。但是,鞘管与Stingray导管之间的摩擦力会导致导丝位置不稳或意外拔出。此外,常出现stingray球囊在着陆区重回真腔区传递失败的问题。为解决传递以及预扩张问题,降低此类问题引起的造成内膜下血肿的危险。

作者成功使用Stingray LP实施ADR在3例患者中。均使用7Fr鞘管。LP由于profile较小,有利于设备之间良好的衔接,并顺滑的进入真腔。其中2例患者未预先球囊扩张,stingray LP就顺利进入内膜下,并顺利进入真腔。1例患者有严重的钙化和迂曲,因此仍然出现了较大摩擦力。住院期间未发生冠状动脉或通路相关并发症。Stingray LP在CTO患者ADR治疗中具有很好的可行性,增加了器械的传递性、安全性和可互换性。也为桡动脉实施ADR提供可能。
3. “双Stingray技术”在远端冠状动脉分叉CTO患者血管再通中的应用

传统ADR技术在CTO伴远端冠状动脉分叉的患者不建议使用,因此,“双Stingray技术”应运而生,作为此类患者的主要治疗方法。
CTO伴远端冠状动脉分叉的患者,通常不建议行ADR,因为可能导致侧支闭塞,从而引起围手术期心肌梗死和不完全血运重建。但是ADR技术使用很广泛,尤其在复杂病变患者。2017年11月Peter Tajti等提出了一种新的“双Stingray技术”,以用于远端冠状动脉分叉的CTO患者。此方法中,两次使用stingray系统在CTO近端及远端进入分叉病变的两个分支,随后进行双支架分叉支架植入,以保持两个分支的通畅。

“双Stingray技术”是CTO伴远端冠状动脉分叉的患者治疗的新技术,可以避免传统ADR的缺点,减少围手术期心肌梗死和不完全血运重建,在治疗中具有重要的价值。
4. 使用对侧5Fr桡动脉径路在ADR策略中的可行性

采用杂交策略实施CTO开通一般选用8Fr导管股动脉通路。ADR技术也可采用6和7 Fr导管经桡动脉通路完成手术,但存在桡动脉功能障碍和桡动脉闭塞等并发症,据报道发生率>10%。一项为期2年的英国单中心临床研究纳入了2016年-2017年33名择期行CTO-PCI的患者,使用双侧桡动脉,对侧使用5 Fr导管 (左桡48%,右桡52%),另一侧桡动脉使用 6 Fr鞘管及指引导管(85%),6.5 Fr无鞘指引导管(6%), 7 Fr鞘管及指引导管(21%),7.5 Fr无鞘指引导管(39%)。实施AWE占55%,逆向途径占30%,ADR占27%。平均J-CTO评分为(2.1 ± 1.2),总成功率为91%。平均X线透视时间和手术时间分别为(45.2 ± 30.6)min 和(172.5 ± 118.1)min,造影剂平均使用体积为(218.5 ± 83.0)mL。其中,1例出现桡动脉并发症,1例出现术中心肌梗死,1例出现心包填塞。
5 Fr指引导管单侧或双侧造影均提供了清晰的图像,且送入微导管无任何阻力和坎顿。对侧指引导管常规选择大一号指引导管,并使用深插技术来增加支撑力。由于导管细并无明显的缺血症状。5F导管的好处是减少造影剂用量,减少缺血。尽管有些局限性,如有时逆向器械通过时支撑力不足,回抽血样检测ACT会有气泡进入,Trapping球囊技术、OCT导管、对吻球囊扩张及旋磨技术无法实施,但这些技术很少在对侧导管使用。
该回顾性研究证实了使用对侧5Fr导管实施CTO-PCI的可行性及安全性。对侧经桡动脉途径能提供清晰的造影质量。在所有逆向开通中,对侧5 Fr指引导管能够提供足够的支撑力,导丝通过后均可顺利通过微导管。作者建议经桡动脉常规使用对侧5 Fr导管,会显著减少桡动脉功能障碍和桡动脉闭塞,同时也会减少造影剂使用量。
5.ADR技术作为血管内超声指导下导丝找回真腔的技术准备

2018年Wataru Takeuchi等报道了一例左回旋支CTO,联合ADR及IVUS-指导下导丝重回真腔,从而避免边支丢失的病例。该病例正向导丝及平行导丝失败,经同侧逆向途径也开通失败,因此尝试ADR技术。经过4次尝试Stingray导丝在OM支分叉以远进入LCX真腔,为了避免OM分支闭塞,采用IVUS辅助下导丝在分叉处重回真腔,最终CTO成功开通,分支保留,无任何并发症,一年造影随访结果良好。因此,术者认为ADR可以作为 IVUS指导下导丝重回真腔的准备。ADR预先准备的好处是内膜下血肿抽吸,IVUS导管容易进入,导丝非常稳定地位于内膜下,不会导致内膜下空间进一步扩大。与单纯IVUS指导下导丝寻找真腔技术相比,IVUS导管可以到达更远端且更稳定,第二根导丝更加容易重回真腔。
6. 一种 wire-based ADR新方法——AFR技术

ADR技术的临床疗效已经得到公认,但是其普及受到技术、设备以及经济等多种因素的制约。因此,2017年12月Mauro Carlino等报道一项新的ADR技术,开窗-重回真腔技术(AFR)。

AFR通过在分隔真假腔的夹层内膜片上制造多个空隙来实现。将球囊(与动脉直径1:1)沿导丝顺行推至内膜下间隙,在闭塞远端纤维帽部位扩张。然后使用软的聚合物涂层导丝穿过球囊所造成的内膜片空隙,从内膜下假腔进入真腔。根据此理论基础,对采用ADR进行再通的患者进行AFR治疗。2015年11月至2017年10月,279例CTO患者进行了PCI治疗,33例(12%)患者采用ADR技术,其中6例(18%)患者采用AFR技术。所有6例患者中有1例患者是在真腔—真腔失败后进行的,其余5例均为发生广泛内膜下夹层后作为ADR的替代技术。所有6例患者AFR均成功,无并发症。
7.Wire-based ADR技术在并发症中的应用——AFR技术在医源性冠脉夹层挽救性治疗中的应用

目前尚无处理医源性闭塞性冠状动脉夹层的标准的方法,血管血运重建失败率很高。因此,以CTO治疗中的AFR技术为基础,开创了一种新的抢救技术,以开通堵塞的血管。
当造影显示冠状动脉夹层无血流,导丝尝试无法进入真腔,可以使用AFR技术进入真腔。暂时通过假腔内导丝送入一个3.5mm的半顺应性球囊,然后在球囊前放置第二根导丝(聚合物护套导丝Fielder XT-A)。然后,操控导丝迅速穿过球囊膨胀和回缩形成的间隙。尝试数次导丝进入真腔。最终,经微导管超选造影(tip injection)确认位置正确,最终支架植入效果良好。

示意图介绍AFR步骤:A) 闭塞性血栓(黑色箭头);位于RCA中段; B) 第一根导丝(绿色)位于闭塞远端的内膜下(黑色箭头); C) 沿着第一根导丝送入球囊位于夹层的可能的重回真腔处 (黑色箭头); D) 聚合物护套的导丝 (白色箭头)在假腔推进,置于球囊前方 (黑色箭头); E) 球囊快速扩张和回抽造成真假腔之间的连通(白色箭头)。球囊回抽时,聚合物护套导丝(黑色箭头)推进入真腔; F) 实施常规PCI。AFR技术的使用是在医源性冠脉夹层传统方法无法重回真腔时的挽救性方法。
李妍教授点评:ADR理念近年来随着专用ADR器械诞生,得到广泛关注与探索,也伴随各种wire-based ADR技术重新得到重视和改良,CROSSBOSS/Stingray-based ADR逐渐拓展其适应证,并不断拓展新的使用方法,如“双Stingray技术”、新一代stingray LP、ADR联合IVUS指引导丝重回真腔。期待组合应用这些技术,带来更高效更完美的CTO开通。