严道医声网讯:
近日,JACC: Cardiovascular Interventions杂志正式刊登了RESTORE CHINA系列研究中的RESTORE ISR CHINA研究,这项研究最早由陈韵岱教授公布于今年九月的TCT年会上,而此次发表于JACC子刊的文章公布了更多研究相关细节。

药物涂层球囊是目前治疗支架内再狭窄的有效手段之一,该研究旨在对比新一代的Restore 紫杉醇涂层药物球囊和传统药物球囊相对于支架内再狭窄病变的治疗有效性和临床安全性。
其实早在十余年前就已经有了药物涂层球囊治疗再狭窄病变的相关报道,但是受到了近年来发展迅速的药物洗脱支架植入技术的冲击,药囊的治疗效果一直未能得到广泛认可。
临床上目前应用广泛的第一代药囊,包括SeQuent Please DCB,普遍采用碘普罗胺作为药物载体,可延长紫杉醇的组织保留时间,既往的研究也提示其能够有效预防再狭窄。研究中应用的Restore DCB是新一代的药物涂层球囊,其采用虫胶铵盐为药物载体,具有水溶性低的特点,在药物转移、组织保留等方面尤其有优势,更重要的是新的技术减少了球囊输送过程中药物涂层颗粒的损失降低了紫杉醇的剂量。该研究的结果为新一代药囊的有效性和安全性提供了有力的支持。
RESTORE ISR CHINA试验简介
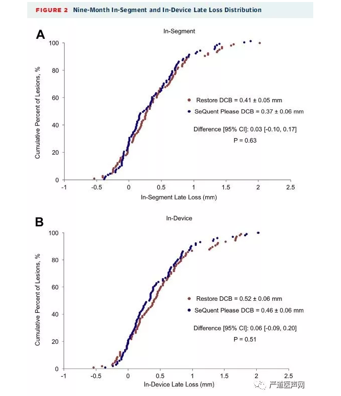
该研究是一项前瞻性、多中心、头对头的随机对照试验,采用了非劣效性的设计,将药物支架植入术后发生支架内再狭窄的患者按照1:1的比例随机分为Restore DCB组和SeQuent Please DCB组(同时匹配组内糖尿病患者的比例),并计划在术后的9个月和1年时进行随访以及复查造影。研究的主要终点是9个月时的晚期阶段内管腔丢失。

该研究共计有来自12家中心的240名患者被随机分组,9个月时的随访结果显示,Restore DCB组和SeQuent Please DCB组的晚期管腔丢失分别为0.38 ± 0.50 和0.35 ± 0.47 mm,达到了非劣效性的终点(p for noninferiority = 0.02)。随访1年时的靶病变治疗失败率分别为13.3% 和12.6%,二者无明显差异。
杂志同期精彩述评
来自哥伦比亚大学医学中心的Juan F. Granada教授针对该研究同期发表了述评,其在述评中指出:该研究的独到之处在于这是首个在支架内再狭窄病变中头对头式对比当代介入技术治疗效果的随机试验,且对未来的介入治疗具有重要指导意义。
首先,对于药物涂层球囊,球囊输送过程中的药物颗粒脱落是严重影响临床疗效的关键因素,也一直是药囊技术发展的瓶颈之一。早期有研究显示药囊输送至靶病变的过程中有至少三分之一的颗粒涂层脱落损失,尤其是在通过直径截面较小的导管时药物颗粒脱落最为严重。但在该研究中,90%的病例采用的是桡动脉的入路,这也是首次在药囊相关的随机对照试验中如此高比例的采用桡动脉入路,而这一临床入路的选择也并未对药囊的有效性产生任何影响。
此外,过去一直认为在使用药囊进行球囊预扩可以获得更大的管腔面积并提高药物颗粒的吸收效率,但在该研究中,尽管只有超过50%的病例采用了预扩技术,但是短期和长期的临床结局都与既往的药囊相关临床试验无明显差异。
球囊扩张时涂层脱落导致远端血管栓塞一直是导致药囊相关并发症的重要原因之一,但本研究中两组患者的术后心梗率都仅有0.8%,非常之低,充分说明了药囊治疗再狭窄病变的安全性。
NOTHING LEFT BEHIND 介入无植入理念的远景及展望
近年来,“介入无植入”的概念受到了越来越多的关注,包括此前大热的生物可降解支架,以及本研究中的药物涂层球囊就是无植入治疗的代表。但值得我们注意的是,“无植入”是要以临床有效性为基础的,我们应以保证临床治疗的有效性为前提,再考虑是否可以以无植入技术替代植入技术。
RESTORE ISR CHINA研究的结果为药物涂层球囊的临床有效性提供了有力的支持证据,成功证实新一代的Restore DCB不劣于SeQuent Please DCB,在将来的试验中,我们期待未来随着技术的发展和涂层药物的研发,药物涂层球囊的临床获益能够进一步扩大。
特邀作者:北京安贞医院 席子惟 刘巍