莎士比亚在哈姆雷特中有一句著名的台词,脆弱啊,你的名字是女人(Frailty, your name is women)。女性是心脏介入治疗的特殊群体,在冠脉介入治疗中女性也是不良预后事件及出血的独立危险因素之一,是指南及临床研究关注的重点,在最新一期的美国心脏病学杂志心脏介入子刊《JACC: Cardiovascular Interwentions》当中特辟专刊探讨女性患者的心脏介入治疗的预后,总结了数项结构性心脏病(经导管主动脉瓣狭窄介入治疗)和冠状动脉疾病介入治疗(冠状动脉狭窄及冠状动脉夹层)中有关女性的最新研究。
1.经导管主动脉瓣置换术(TAVR)女性患者的1年临床结果较为可观

此前已有多个研究证实TAVR手术疗效不劣于外科手术,有统计结果显示行TAVR手术的患者中女性患者的比例超过50%,而鲜有研究探讨TAVR的临床结果是否存在性别差异。本研究首次纳入了由欧洲、美国的19家医院参与的WIN-TAVI注册研究的1019名平均年龄82.5岁的女性TAVR患者,跟踪随访1年,旨在探究TAVR在女性患者中的安全性和有效性,其中42.1 患者使用的是新一代瓣膜。结果显示,术后1年,包括死亡、卒中心肌梗死和由于瓣膜相关症状或瓣膜功能不全或心衰而再住院在内的复合终点的发生率为16.5%,其中死亡的发生率为12.5%,卒中发生率为2.2%,均处于较低水平,同时研究结果还提示我们,既往血运重建史和术前的EuroSCORE I评分是复合终点事件的独立危险因素,而房颤和既往PCI史则是死亡和卒中的独立危险因素,这二者均会使术后死亡和卒中的风险增加50%左右。而怀孕史及其他性别相关因素则不会对TAVR的1年临床结果产生明显的影响。
2.应用SAPIEN 3瓣膜的经导管主动脉瓣置换术(TAVR)临床结果无明显性别差异
在上个研究中,仅有不到一半的女性患者使用的是新一代的TAVR瓣膜,而新一代瓣膜在技术操作难度及材质等方面均有了一定的改进,本研究的目的在于评估新一代SAPIEN 3 TAVR瓣膜的术后生存率是否存在性别差异尚。本研究纳入了1661名患者,其中538人为中危(STS评分2%至8%)(含245名女性),1078人为高危患者(STS评分8%)(含412名女性)。结果显示,女性患者植入的多为≤23mm瓣膜(74.1%),但男性患者中仅有11.1%植入的是≤23mm瓣膜,男性患者中超过三分之一植入的是29mm的瓣膜,而女性患者中仅有不到1.5%的患者使用的是29mm的瓣膜。在术后30天及术后1年的死亡率和卒中发生率方面,均不存在性别的差异。然而女性30天内微小卒中的发生率高于男性。总的来说,TAVR的术后存活率及卒中风险不存在性别差异,并且该研究对今后新一代瓣膜的尺寸选择有一定的指导意义。


3.女性经导管主动脉瓣置换术患者的远期疗效优于男性(荟萃分析)
先前的研究曾显示,TAVR的结果与性别差异有关,但大多是关于短期结果。该研究纳入了17项研究,包括47188例患者,其中49.4%为女性。结果显示,女性年龄偏大,但合并症更少。30天临床结果中,女性患者的出血发生率更高,并且血管相关并发症、卒中/短暂性脑缺血发作、全因或心血管死亡率也更高。然而,女性的1年和3年死亡率均低于男性男性,其原因可能在于女性患者主动脉疾病的严重程度不及男性患者。总而言之,TAVR术的女性患者的远期生存率优于男性。

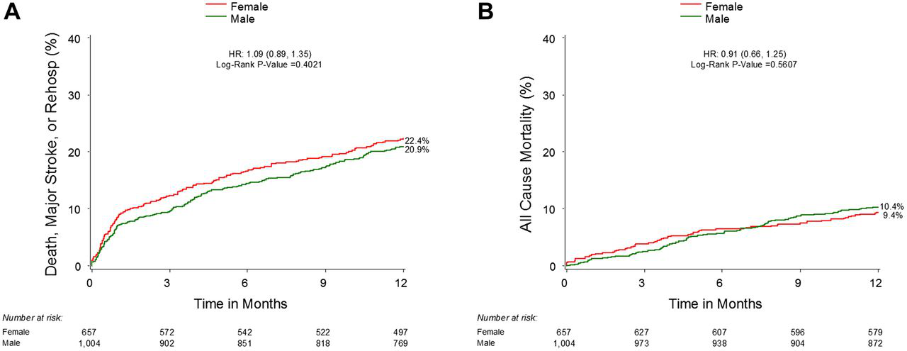
4.性别对急性冠状动脉综合征患者的经桡与经股介入治疗的对比结果无明显影响

对于冠状动脉介入治疗的安全性和有效性,鲜有探究其中是否存在性别差异的研究,本研究旨在探讨急性冠脉综合征的男性和女性患者中经桡和经股动脉的对比结果是否一致。研究将8404例患者随机分配到经桡动脉组和经股动脉组,以30天的主要的不良心脑血管不良事件(MACCE)作为终点事件。研究包含2232例(26.6%)女性,6172例(73.4%)男性。调整混在因素后,MACCE的发生风险在男性和女性之间并无显著差异,但女性的出血、输血风险要高于男性。对比经桡和经股入径的结果发现,性别对其无明显影响,经桡介入治疗MACCE风更低,优于经股介入治疗。所以,女性患者的出血风险较高,而经桡介入治疗是减少并发症的有效方法。

5.增加支架长度会给接受经皮冠状动脉介入治疗植入新一代药物洗脱支架的女性患者3年临床结果带来不良影响

PCI治疗技术在近年来得到了较大的进步与完善,但支架长度是否与不良预后相关尚不清楚。本研究纳入了来自14个关于新一代药物洗脱支架的随机对照试验的5403名女性患者,研究终点为3年间的主要心血管不良事件,分析结果显示增加支架的长度会增加2年内MACE事件的风险,但不会增加支架内血栓的风险。
6.体重指数对女性患者接受经皮冠状动脉介入治疗植入药物洗脱支架后临床结果有明显影响

既往研究显示BMI指数较高的急性冠脉综合征患者PCI术后的临床结果优于BMI指数较低的患者。本研究旨在探讨体重指数(BMI)对经皮冠状动脉介入治疗(PCI)植入药物洗脱支架治疗的女性患者的临床结果的影响。研究收集了来自26个随机对照试验的9420名女性患者的数据,后根据BMI指数将其分为患者分层为体重过轻组(BMI<18.5)、正常体重组(BMI介于18.5至24.9之间)、超重组(BMI介于25至29.9)、肥胖组(BMI介于30 至34.9)以及病态肥胖组(BMI大于等于35),研究的主要终点为包括死亡、心肌梗死和靶病变血运重建在内的复合终点事件,随访时间3年。结果提示,BMI指数较高的患者明显更为年轻,并且心血管危险因素较多。研究中只有139名患者属于体重过轻组,且与其他人群相比,其心源性死亡率和全因死亡率都明显升高,是其他人群的2倍以上,但在严重肥胖的人群中,死亡风险同样也是明显升高的,死亡风险呈现U字曲线的变化趋势。

7.伴自发性冠状动脉夹层的女性急性心肌梗死的患者的发生率、临床表现及在院死亡率
伴自发性冠状动脉夹层的女性急性心肌梗死患者的典型临床表现及存活率目前尚不清楚。本研究纳入了752352名女性急性心肌梗死患者,其中7332名患者伴有自发性冠脉夹层,分析相关临床资料发现,伴自发性冠脉夹层的患者更为年轻,合并症较少,但在院死亡风险明显升高,在经过倾向性评分匹配及多因素回归后发现,其死亡风险是是不合并自发冠脉夹层的患者的2.41倍,但近年来的死亡率在逐年下降。值得注意的是,在合并自发性冠脉夹层的非ST段抬高心梗的患者中,行PCI的患者的死亡风险高于未行PCI的患者。因此,合并自发性冠脉夹层会显著增加女性急性心肌梗死的患者的在院死亡风险,并且对于非ST段抬高心梗的患者来说,PCI有导致预后不良的风险。

