健心知著
2026.01.07
第519期

脂蛋白(a)与易损斑块的新视角:聚焦于局灶性高危斑块而非全冠脉粥样硬化负担

刘健、赵妍、彭欣
北京大学人民医院
健心荐语
脂蛋白(a)(Lp(a))是动脉粥样硬化的重要独立风险因子,尤其与心肌梗死风险密切相关。然而,Lp(a)是否与冠状动脉中具体的“易损斑块”形态相关,此前尚缺乏系统性影像学证据。本研究基于PROSPECT II试验,首次通过近红外光谱(NIRS)与血管内超声(IVUS)三支血管成像,系统评估了Lp(a)与传统血脂指标与全冠脉粥样硬化负担及局灶性易损斑块的关系,为Lp(a)在斑块易损性中的作用提供了直接影像证据。
文章介绍
本研究为PROSPECT II试验的子研究,由瑞典隆德大学、美国加州大学圣地亚哥分校等多中心合作,发表于《JACC: Cardiovascular Interventions》(2025年)。研究纳入865例近期心肌梗死患者,通过NIRS-IVUS成像,探讨Lp(a)、总胆固醇(TC)、低密度脂蛋白胆固醇(LDL-C)等血脂指标与全冠脉斑块负荷、脂质沉积以及局灶性易损斑块特征之间的关联。
研究方法
研究设计:前瞻性、多中心观察性研究,纳入865名近期(4周内)STEMI或NSTEMI患者,再血流受限罪犯病变均接受PCI治疗后,对冠状动脉树中所有未处理的、非血流限制性的血管段进行分析。
影像评估:使用NIRS-IVUS导管对三支冠状动脉近段进行成像,评估全冠脉斑块体积百分比(%)、全冠脉脂质核心负荷指数(LCBI),以及局灶性高危斑块(定义为最大脂质核心负荷指数(maxLCBI4mm)≥324.7 和/或斑块负荷≥70%)。
血脂指标:Lp(a)、TC、LDL-C、高密度脂蛋白胆固醇(HDL-C)、非高密度脂蛋白胆固醇(non-HDL-C)、甘油三酯。
统计分析:使用多变量线性回归和逻辑回归分析血脂指标与影像学终点之间的关系,调整年龄、性别、糖尿病、吸烟、既往PCI等混杂因素。
研究结果
本研究最终纳入了865名来自PROSPECT II研究的近期(4周内)心肌梗死患者,这些患者在成功接受介入治疗后,使用NIRS-IVUS导管对冠状动脉树中所有未处理的、非血流限制性的血管段进行成像,并评估全冠脉斑块体积百分比、LCBI、maxLCBI4mm、最大斑块负荷。图1直观对比了从患者冠状动脉成像数据中提取量化指标的方法。

图1 NIRS-IVUS量化冠状动脉整体斑块负荷与局灶性高危斑块特征的方法学
研究显示,患者中位年龄为63岁(四分位距:55-70岁),其中711人(82.3%)为男性。整个研究人群的Lp(a)水平中位数为5.9 nmol/L(四分位距:2.5-33.1 nmol/L)。共有760名患者被归入低Lp(a)组(<75 nmol/L),84名患者属于中Lp(a)组(75-125 nmol/L),21名患者属于高Lp(a)组(>125 nmol/L);低、中、高Lp(a)组的中位Lp(a)水平分别为4.9 nmol/L(四分位距:2.2-12.8 nmol/L)、89.3 nmol/L(四分位距:81.1-105.0 nmol/L)和143.3 nmol/L(四分位距:133.3-159.0 nmol/L)(表1)。高Lp(a)组患者中女性更为常见,且更常患有糖尿病和既往心肌梗死。三组Lp(a)患者的基线LDL-C、HDL-C和甘油三酯水平相似。将Lp(a)按四分位数分组时,结果也相似。

表1 按Lp(a)水平分组的患者基线临床、实验室及影像学特征
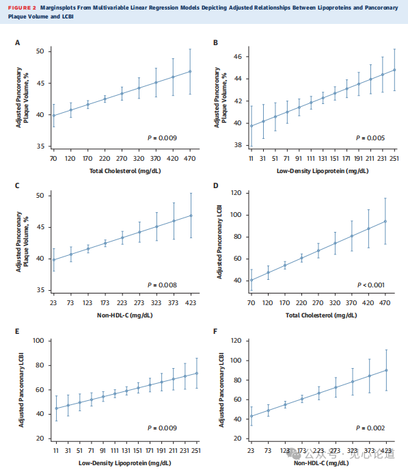
通过多变量分析,在严格调整了年龄、性别、糖尿病、吸烟等众多混杂因素后,TC(P=0.009)、LDL-C(P=0.005)和non-HDL-C(P=0.008)作为连续变量,均与全冠状动脉斑块体积显著相关;类似地,TC(P<0.001)、LDL-C(P=0.009)和non-HDL-C(P=0.002)与LCBI相关,而其他血脂指标与全冠状动脉斑块体积和LCBI无关(表2)。这表明TC、LDL-C、non-HDL-C是整体斑块负荷的独立驱动因子,而其他血脂指标尤其是Lp(a)则与此过程无关。图2直观证实了调整后TC、LDL-C和non-HDL-C升高与全冠状动脉斑块体积及LCBI之间的关系。

表2 血脂与全冠脉斑块负荷的多变量回归分析

图2 传统血脂与全冠脉斑块负荷的正相关边际图
在进行血脂与易损斑块的相关性分析时,研究发现,Lp(a)水平越高,患者冠状动脉中存在易损斑块的可能性就越大,而其他血脂与是否存在易损斑块没有显著关联(图3)。当将Lp(a)按四分位数分组时,结果相似。在进行多变量分析后,连续的Lp(a)水平与存在一个或多个斑块负荷≥70%、maxLCBI4mm≥324.7或兼具这两种特征的病变呈强烈相关。相反,其他血脂水平均与易损斑块的存在无关(表3)。除此之外,在模型中额外加入高敏C反应蛋白或LDL-C并未改变Lp(a)与易损斑块存在之间的显著关系(对于与兼具斑块负荷≥70%和maxLCBI4mm≥324.7的病变的关联,Lp(a)每升高100nmol/L的比值比分别为:1.70 [95% CI: 1.06-2.74; P=0.028] 和 1.64 [95% CI: 1.09-2.47; P=0.02])。且敏感性分析显示,无论患者是否患有糖尿病,这种关联趋势都同样存在。

图3 Lp(a)水平与易损斑块患病率的剂量-反应关系

表3 Lp(a)与易损斑块存在的独立关联:多变量逻辑回归分析
结 论
Lp(a)与局灶性易损斑块的存在独立相关,提示其可能通过促进斑块易损性而非整体斑块积累来增加心梗风险。传统血脂指标(TC、LDL-C)则主要与全冠脉粥样硬化负担相关。这支持了Lp(a)降低治疗在减少易损斑块方面的潜在独特价值。
讨论
本研究的核心价值在于:
① Lp(a)与斑块易损性的直接关联:首次通过NIRS-IVUS多血管成像证实Lp(a)与易损斑块形态独立相关,为其致栓机制提供影像学依据。
② 与传统血脂指标的不同作用路径:明确了Lp(a)与LDL-C在动脉粥样硬化中的不同角色:LDL-C推动斑块积累,Lp(a)促进斑块易损。
③ 临床启示:支持在高危患者中检测Lp(a),并结合冠脉成像评估斑块易损性,为个体化降脂与抗炎治疗提供依据。
④ 研究局限性:Lp(a)为单次测量,样本中高Lp(a)患者较少;未评估血脂随时间变化与斑块进展的动态关系;未能直接分析Lp(a)与远期MACE的独立关联。