ESC2017|刘启明:ESC速递
2017-09-06 18:13

· 西班牙巴塞罗那
· 140多个国家/30000余名参会
· ESC现任主席Jeroen Bax主持
· 大会主席Stephan Achenbach介绍:PCI 40年(40 Years of PCI)回顾、总结与展望
· 大会收到112项研究
· 精选23例最新临床和注册研究
主要内容
01.四部新指南
急性STEMI管理指南
冠心病双联抗血小板治疗(DAPT)指南
心脏瓣膜病管理指南
外周动脉疾病诊疗指南
一、STEMI指南更新

STEMI指南新推荐

新提出/新修订概念
· 新增加了非阻塞性冠脉疾病(MINOCA)和质量控制相关章节
· 策略选择和时间延误:在选择再灌注策略时定义了起始点“time0”,当预期从“STEMI诊断”到导丝通过≤120min时推荐选择PCI治疗优于溶栓治疗;从“STEMI诊断”到溶栓剂应用最长延迟时间设定为10min;D2B时间从指南中删除
· 常规选择开通梗死相关血管(IRA)时间限制:0-12h(I类推荐);12-48h(IIa类推荐);>48h(III类推荐)
· 发病时心电图:具有缺血症状合并左束支或右束支传导阻滞的患者都同样推荐进行急诊冠脉造影
· 溶栓后冠脉造影:成功溶栓后冠脉造影的时间设定为2-24h
· 细化了STEMI急性期及长期口服抗凝管理策略
二、冠心病DAPT指南更新


三、心脏瓣膜病指南更新



四、外周动脉疾病指南更新



主要内容
02.最新临床研究
心律失常
心力衰竭
高血压
心脏急诊与ACS
介入心脏病学
预防心脏病学
一、房颤:RACE 3研究

· 前瞻性、随机、开放标签的优效设计研究
· 17个中心245例早期持续性房颤伴心衰患者
· 随访1年的结果显示:强化上游治疗组维持窦性心律的比例明显高于常规治疗组(75%vs.63%,P=0.021)
· 提示:强化危险因素控制和生活方式干预可以明显提高窦律维持率
二、房颤:CASTLE-AF研究

· 房颤合并心衰第一个以死亡和心衰再住院为主要终点的随机对照试验
· 平均随访37.8个月,与传统治疗相比,导管消融治疗组主要终点事件风险明显降低38%,全因死亡风险显著降低47%,心衰再住院风险也降低44%
· 研究再次显示导管消融的优势
三、房颤:EMANATE研究

· 多中心、前瞻性、随机、开放标签的盲终点试验
· 结果表明:对于拟行心脏电复律的房颤患者,与肝素加华法林的传统方法相比,阿哌沙班可显著降低卒中及全身栓塞风险(P=0.0164),不增加出血风险
· 阿哌沙班10mg负荷剂量配合经食管超声心动图检查允许快速电复律
四、室性心律失常

· 41例LMNA相关心肌病患者的9年随访,心脏磁共振成像钆延迟增强(MRILGE)阳性者发生恶性室性心律失常、非持续性室速、总电击次数明显多于LGE阴性者,无事件生存率也明显较低(P=0.02)
· 提示:LGE可预测LMNA相关心肌病患者的心律失常风险
五、ESC-HF注册研究:β受体阻滞剂与生存率

· 心衰合并房颤的患者,β受体阻滞剂治疗组的1年生存率明显高于未服药组,全因死亡与心衰住院风险也明显降低
心力衰竭预后

· 盐皮质激素受体阻滞剂(MRA)可降低EF<40%者的3年死亡率,但不降低EF在40%~49%、EF>50%人群的死亡率。不管是否合并慢性肾病,MRA与死亡率之间的相关性无明显不同。
· 英国23541例心衰患者的真实世界分析表明,血钾与死亡及主要不良心脏事件(MACE)之间呈U型曲线,血钾水平异常均能够明显升高死亡及MACE风险。与血钾正常者相比,血钾≥6mEq/L者的死亡风险高出3.5倍。
· 多种方式的健身运动均可改善心衰患者运动能力,3个月时健身患者的6分钟步行距离增加33米
六、高血压治疗新进展
· CLARIFY注册研究:接受高血压治疗的稳定性冠心病患者,舒张压低于<70mmHg或收缩压<120mmHg时存在J型曲线,心血管风险升高40%~50%。
· 10项随机对照试验荟萃分析:去肾交感神经术(RDN)对血压的降低作用并不优于药物治疗。
· 106例真正难治性高血压的随机试验:螺内酯的降压效果优于RDN。
· PATHWAY-2研究:难治性高血压基本上处于钠潴留状态,螺内酯主要通过利尿作用来降低血压,其临床作用似乎可被阿米洛利再现。
七、hs-cTn 0/1小时法则快速排除AMI

· 4350例疑似NSTEMI患者,最终17%患者确诊。
· 根据肌钙蛋白T的水平评估,57%的患者被排除,阴性预测值高达99.8%,敏感性达到99.3%。
· 采用hs-cnTnT、hs-cTnI的0/1小时法则在分诊疑似NSTEMI人群时非常安全且有效,但特异性及总有效性较低。
心肌梗死预后
· EARLY-BAMI试验:STEMI患者在直接PCI前早期静脉给予β受体阻滞剂,其1年结果显示,相对于安慰剂,美托洛尔并不减少MACE。
提示:STEMI急性期给予β受体阻滞剂似乎并无作用。
· ISACS-TC人群中8834例STEMI患者的分析:不管是在所有STEMI患者中,还是在行直接PCI的STEMI患者中,女性的30天死亡率均远远高于男性。
校正了性别、年龄、糖尿病、高血压、既往心梗、入院时Killip分级、使用阿司匹林、氯吡格雷、肝素及直接PCI之后,女性患者的死亡率仍然较高。
八、RE-DUALPCI研究:房颤患者PCI后长期抗栓新方案

· 2502例行PCI的非瓣膜性房颤患者的分析:相比于华法林+1种P 2 Y 12 抑制剂+阿司匹林的三联抗栓方案,达比加群+1种P 2 Y 12 抑制剂方案的出血风险显著降低,且不增加血栓风险。
九、SYNTAX II研究:完全血运重建策略及其对晚期预后的影响

· 对于多支血管病变的CAD患者, 采用SYNTAX II血运重建策略可明显改善预后。
· SYNTAX II血运重建策略的主要结果并不劣于外科手术。
十、COMPASS研究

· 33个国家,27,402例患者
· 观察利伐沙班对SCHD或外周动脉疾病主要心脏不良事件二级预防
· 主要终点:心源性死亡,中风及心梗
· 利伐沙班(2.5mg BID)连用阿司匹林与阿司匹林对比能明显降低主要终点事件:HR 0.76 (0.66-0.86,P< 0.01) ,而利伐沙班单药(5mg BID)则无统计学差异。
十一、PURE研究

· 18个国家667个社区的超过13万例普通人群。
· 结果发现:多吃果蔬和豆制品可降低死亡风险,但不降低心血管病风险,每天3~4份量的获益最大。
· 饮食中的脂肪具有保护作用,而碳水化合物有害。
· 增加饱和脂肪的摄入量,总死亡率降低,但对心血管死亡率无影响;增加碳水化合物的摄入量,死亡率升高。
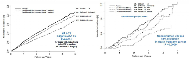
十二、CANTOS研究
· 心肌梗死病史且hsCRP水平≥2mg/L患者,每3个月皮下注射一次抗炎药cankinumab(单克隆抗体靶向白介素1β),可显著降低心血管事件发生率,且独立于血脂水平。
· 直接验证动脉粥样硬化炎症假说。
· 意外发现:Canakinumab组癌症死亡率明显下降。
十三、GLAGOV研究
· 他汀加用PCSK 9抑制剂Evolocumab不仅可大幅降低LDL-C水平,而且可降低斑块体积百分比。
· 他汀加用Evolocumab可使斑块逆转,但不改变斑块构成。