
背景
瓣膜性心脏病(VHD)是全球范围内的重要健康负担,早期干预可显著改善患者预后,但目前缺乏有效工具预测其进展。现有研究提示,超声心动图参数虽能部分预测疾病进展,但受限于敏感性不足、操作依赖性及医疗资源分配不均等问题。近年来,人工智能心电图(AIECG)技术在VHD筛查领域取得突破,其通过深度学习解析心电信号细微特征的能力,为无创、低成本预测疾病进展提供了新思路。
近日,复旦大学附属中山医院葛均波院士团队的梁义秀教授,联合英国帝国理工大学、美国哈佛大学医学院团队,成功开发出全球首个基于AIECG的反流性VHD,包括二尖瓣反流(MR),三尖瓣反流(TR)和主动脉反流(AR),进展的预测模型,研究成果公布发表于心血管顶刊European Heart Journal(IF 35.6)。

图文摘要

AIECG在中国和美国队列中成功预测未来反流性心脏瓣膜病
研究方法
1. 研究队列
本研究采用多中心回顾性队列设计,整合来自中国上海中山医院(SHZS)和美国贝斯以色列女执事医疗中心(BIDMC)的临床数据。SHZS队列包含400,882名患者的988,618份心电图-超声心动图配对数据,BIDMC队列包含34,214名患者的87,328份配对数据(图1)。

图1. 研究流程
2. 模型开发与评估
研究构建了结合残差卷积神经网络和离散时间生存分析的双任务框架。模型输入为预处理后的12导联心电图信号,通过5个残差块组成的特征提取网络获取时频特征,最终输出层同时实现当前疾病诊断和未来风险预测两个任务。采用严格的评估流程对模型性能进行系统验证:首先通过内部验证(训练集50%、调优集10%、测试集40%)评估基础性能指标(AUROC、C-index、Brier评分等),并在独立跨国队列(BIDMC,n=34,214)进行外部验证;其次开展亚组分析(按人种、性别、基础疾病分层)和敏感性分析(排除术后病例、延长空白期、竞争风险模型等);最后采用变分自编码器(VAE)进行潜在特征提取,并通过对比高低风险组的中位心电波形差异,解释模型的作用机制。
研究结果
1. 模型表现
在内部验证集(SHZS)中,生存模型预测MR、AR和TR的C-index分别为0.774、0.691和0.793,较分类模型(0.755、0.665和0.765)均有显著提升(所有P<0.0001)。这一优势在外部跨国验证集(BIDMC)中得到进一步验证,生存模型对MR、AR和TR的预测C-index(0.698、0.647和0.702)同样显著高于分类模型(0.668、0.612和0.682)。值得注意的是,生存模型不仅提升了预测性能,在诊断现有疾病方面也表现更优,其AUROC在内部和外部验证中均显著高于分类模型(所有比较P<0.0001)(表1)。

表1. 分类模型与生存模型的表现
生存分析显示,在内部验证集(SHZS)和外部验证集(BIDMC)中,模型识别的高风险组(最高四分位)患者发生二尖瓣、主动脉瓣和三尖瓣反流进展的风险显著高于低风险组(所有log-rank P<0.0001)(图2)。

图2. 根据模型输出的危险分层进行的生存分析
亚组分析显示,模型在不同种族(亚裔、白人、黑人等)和性别亚组中的预测性能一致性,所有亚组的C-index均保持稳定(交互作用P>0.05)(图3)。

图3. 亚组分析
2. 模型对比
与传统临床和超声心动图参数构建的模型对比,AIECG预测模型显著提升对瓣膜反流进展的预测能力(所有比较P<0.05),其中对三尖瓣反流的预测改善最为显著(NRI=0.630)(表2)。

表2
3. 模型的相关性分析
相关性分析表明,AIECG预测分数与心脏结构重塑的关键超声指标(如左房容积、右室直径等)呈显著正相关(所有P<0.001)(图4)。

图4. AIECG预测分数与心脏重构超声参数的相关性分析
4. 模型的可解释性分析
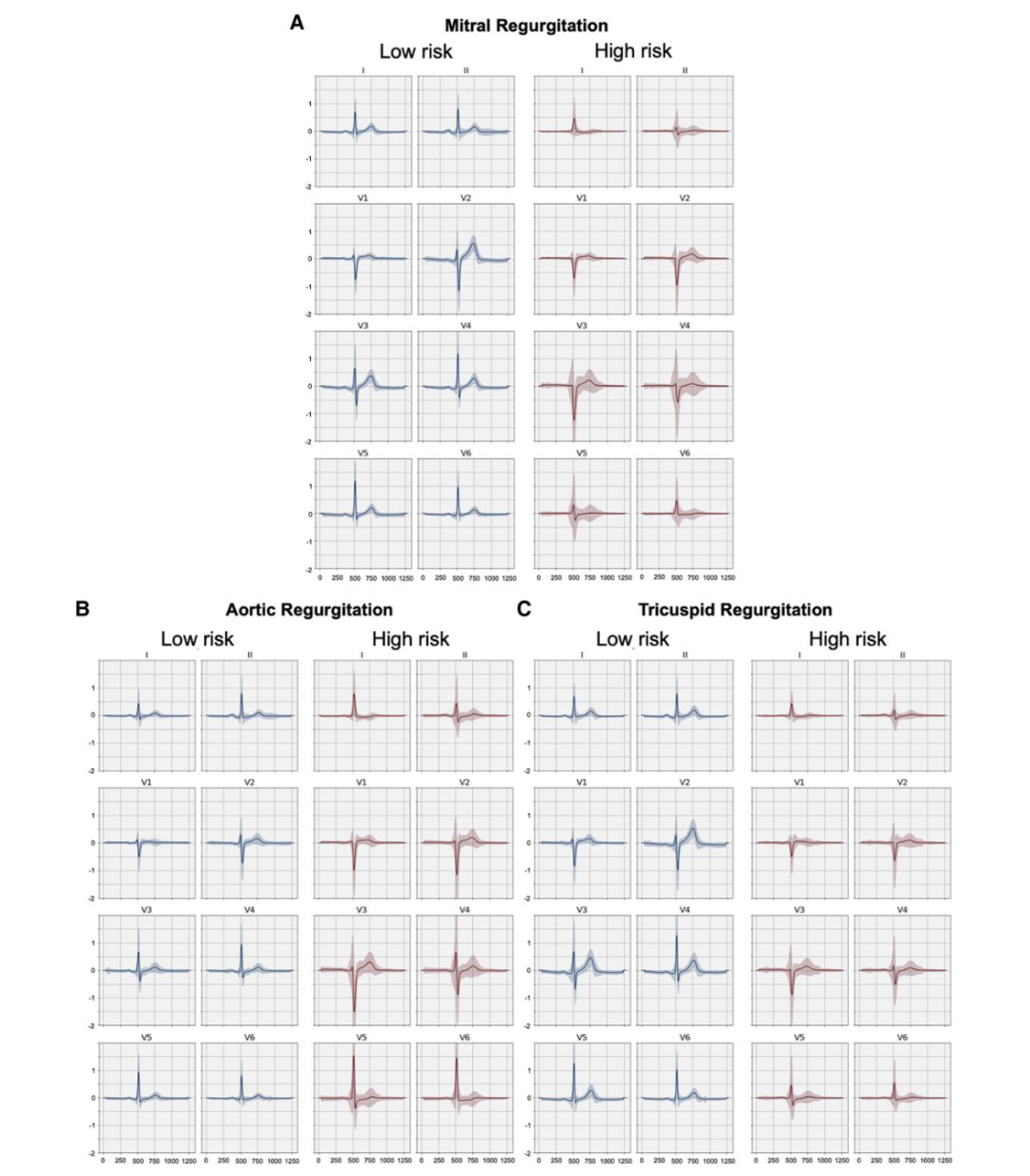
研究通过两种互补的可视化方法揭示了AIECG模型的预测机制: VAE分析识别出QRS波增宽(MR/TR预测)和T波倒置(TR预测)等关键波形特征(图5);对比最高风险和最低风险患者的中位ECG波形,定量显示出高风险组普遍存在P波振幅降低(MR/TR)、V1导联S波加深(MR/AR)等具有临床意义的电生理改变(图6)。

图5. VAE解析的ECG特征与瓣膜反流风险预测关联性

图6. 高低风险组中位ECG波形对比分析
结论
本研究由复旦大学附属中山医院联合英国帝国理工学院、美国哈佛大学医学院等国际顶尖团队共同攻关,成功开发了全球首个基于AIECG的瓣膜反流疾病智能预测系统,实现了AI在心脏病学领域从诊断辅助到预后预测的革命性突破。这项跨国合作研究创新性地整合了中、美两大医疗体系超过98万例多种族人群数据,不仅验证了模型在预测瓣膜疾病进展方面的卓越性能,更首次证实了AIECG预测模型在跨种族、跨医疗体系中的普适性。这一突破性成果标志着心血管疾病管理正式进入"智能预测"时代,其采用的国际合作范式为全球医疗AI研发提供了成功样板,通过融合东西方医疗数据优势,不仅解决了单一地区数据偏差的难题,更为建立国际统一的数字医疗标准奠定了坚实基础,将显著加速AI技术在心血管疾病防控中的全球化应用进程。