

导语:心力衰竭的患病率随着年龄的增长而增加,老年心力衰竭患者在心力衰竭人群中所占比例不断上升。心脏再同步治疗(CRT)能够通过左右心室同步收缩来纠正心力衰竭,改善患者的心功能和生活质量,并延长患者生命。植入式心律转复除颤器(ICD)在预防心源性猝死和降低心力衰竭患者全因死亡率方面的益处也已得到证实。然而,一些大型临床试验并未纳入平均年龄超过70岁的老年心力衰竭患者,在真实世界中,有CRT和ICD植入适应证的老年患者并不少见,目前CRT和ICD在老年心力衰竭患者中的治疗价值仍存在争议。
近日,大连医科大学第一附属医院刘金秋教授团队在《BMC Cardiovascular Disorders》期刊发表了题为《Long-term outcomes of cardiac resynchronization therapy and implantable cardioverterde fibrillators in elderly patients with heartfailure》的研究,揭示了CRT和ICD治疗在老年心力衰竭患者中的长期疗效及安全性,为临床治疗决策提供了新的参考依据。

研究目的
本研究旨在探讨心脏再同步化治疗(CRT)和植入式心脏复律除颤器(ICD)在老年心力衰竭患者中的长期安全性和有效性,并分析影响ICD植入后长期预后的危险因素。
研究方法
该研究为回顾性研究,纳入了2010年至2021年在大连医科大学附属第一医院首次植入CRT(n=115)和/或ICD(包括CRTD)的心力衰竭患者(n=174)。研究将年龄≥70岁定义为“老年人”,其中48名接受CRT植入的患者(41.7%)和61名接受ICDs植入的患者(35.1%)≥70岁。所有患者均随访至少1年,CRT组和ICDs组的中位随访时间分别为45个月和51个月。
收集术后第一年内的手术相关并发症发生率作为评估安全性的指标。同时,通过CRT反应(植入后一年内左心室射血分数(LVEF)增加≥5%或左心室舒张末期内径(LVEDD)绝对值减少≥15%)率、CRT超反应(植入后一年内LVEF增加≥15%)率、心力衰竭再住院率、全因死亡率、心源性死亡率,以及LVEF、LVEDD和QRS持续时间的改善情况来评估CRT组的有效性。对于ICDs组,主要结局指标包括生存状态和适当的ICDs电击(对室性心动过速(VT)或心室颤动(VF)发作时给予的单次或多次电击)。
研究结果
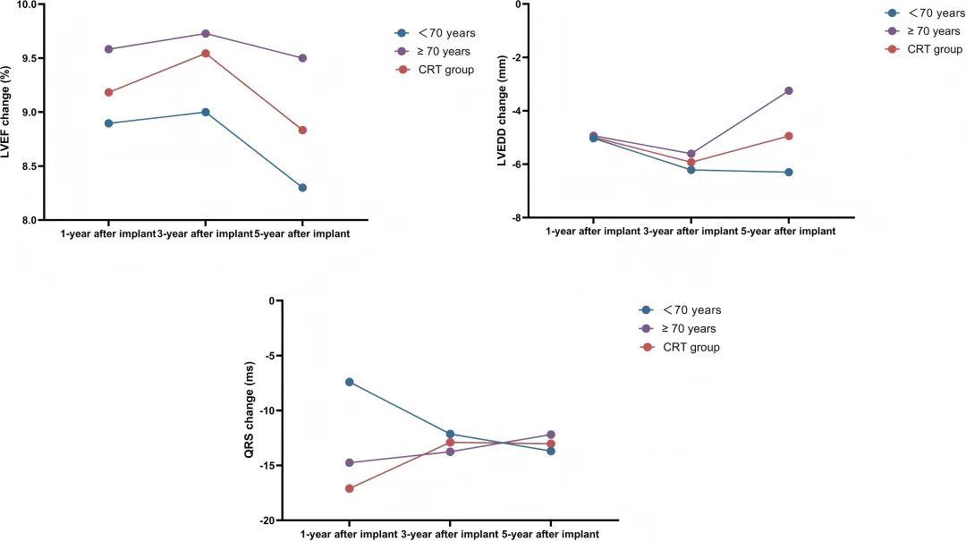
结果显示,老年患者和年轻患者在手术相关并发症的发生率无显著差异。老年和年轻患者的CRT超反应率(29.2%vs.23.9%,P=0.481)、CRT反应率(60.4%vs.64.2%,P=0.681;25.0%vs.22.4%,P=0.698)、心力衰竭再入院率、全因死亡率或心源性死亡率没有显著差异。CRT植入后,患者的LVEF、LVEDD和QRS持续时间均得到改善,且这种改善在植入后五年内持续存在。趋势图显示, LVEF和LVEDD的最大变化出现在植入后3年。

图1.CRT反应率和超反应率。(1):CRT反应定义为植入后1年内LVEF增加≥5%。(2):CRT反应定义为植入后1年内LVEDD绝对下降≥15%。(3):超反应率

图2. CRT组≥70岁、CRT组<70岁、CRT全组左心室射血分数(LVEF)、左心室舒张末期直径(LVEDD)和QRS时限(QRS)随时间的变化
ICDs组中,老年患者和年轻患者之间的适当电击率没有显著差异。然而,老年患者显示出比年轻患者更高的全因死亡率(31%vs.18%,P=0.035)。生存曲线在5年后开始分离,但在两组之间的心脏死亡率没有显著统计学差异(16%vs.14%,P=0.522)。COX回归模型表明,年龄≥70岁和慢性肾病是全因死亡的独立危险因素(HR=1.963,3.165,P=0.041,0.003),而LVEF≤20%是心源性死亡的独立危险因素(HR=3.562,P=0.004)。

图3.ICDs治疗结果。适当电击是指对室性心动过速或心室颤动发作而给予的单次或多次电击。电击成功定义为单次或多次放电后成功终止室性心动过速或心室颤动

图4.CRT 组的生存曲线

图5.ICDs 组的生存曲线
研究结论
对于老年心力衰竭患者,植入CRT和ICDs是安全的。年龄不应成为CRT植入的阻碍。ICDs在老年患者中的预后受非心脏因素影响较大,长期获益较年轻患者差。
*本文源自:
https://bmccardiovascdisord.biomedcentral.com/articles/10.1186/s12872-025-04863-w
由严道医学编辑团队翻译整理,如有错误之处,还请海涵,欢迎指正交流。