健心知著
2025.01.17
第440期

IVUS或冠状动脉生理学评估推迟左主冠状动脉血运重建 -来自SWEDEHEART登记的长期结果

刘健、柏庚、彭欣
北京大学人民医院
健心荐语
左主冠状动脉 (LMCA) 病变不经治疗可能会导致严重的临床结果,但是否延迟干预中度LMCA 狭窄受到观察者之间巨大差异的限制。因此临床上引入血管内成像(IVUS)和冠状动脉生理学(包括瞬时无波形比率iFR和血流储备分数FFR)作为评估中度 LMCA 狭窄严重程度的替代技术,几项研究取得了良好的短期和长期结果。然而这些研究规模较小、非随机化,并且具有不同的临界值和设置,因此需要进行更多研究来进一步探究使用IVUS或冠状动脉生理学评估对LMCA 狭窄患者的长期临床结果。该文于2024年11月发表于International Journal of Cardiology杂志。
研究方法
该研究来自于瑞典SWEDEHEART注册系统,该系统是一个瑞典国家质量登记处,收集接受冠状动脉造影、经皮冠状动脉介入治疗 (PCI)、经导管主动脉瓣置换术或心脏手术的患者数据。研究纳入2014年1月至 2022年2月LMCA 接受 IVUS、iFR 或 FFR 指导的冠状动脉血运重建的所有患者,每位患者只施行其中一种方法。排除标准包括 LMCA 的临时 PCI、近端左前降支 (LAD) 或近端左回旋支 (LCx) 病变、计划进行选择性血运重建、计划进行瓣膜手术、最小管腔面积 (MLA) <6 mm2 、iFR ≤ 0.89、FFR ≤0.80。图 1 显示了描述研究设计的流程图。

图1:研究设计流程图
研究结果
最终分析共纳入 1552 名患者,其中 IVUS 组 522 名(33.6 %),冠状动脉生理组 1030 名(66.4 %)(图 1)。176 名(11.3 %)患者的推迟是基于 iFR,854 名(55.0 %)患者的推迟是基于 FFR。
患者基线特征如表1示,两组平均年龄均为 71 岁(p =0.22),IVUS 组男性占 74.3 %,冠状动脉生理组男性占 74.5 %(p =0.95)。冠状动脉生理学组患者中糖尿病(23.0 % vs. 28.1 %,p < 0.05)、高血压(74.3 % vs. 81.6 %,p < 0.05)和既往 MI(35.8 % vs. 41.2 %,p < 0.05)患者较多,而 IVUS 组患者中肾衰竭患者明显较多(6.3 % vs. 3.9 %,p < 0.05)。两组之间的手术适应症差异有显著性(p < 0.001)。IVUS 组的手术适应症为慢性冠状动脉综合征(27.6 %)、不稳定型心绞痛(15.3 %)、非 ST 段抬高型心肌梗死 (NSTEMI)(19.5 %)和 ST 段抬高型心肌梗死 (STEMI)(6.3 %)。冠状动脉生理学组的相应百分比分别为 36.7%、15.7%、15.9% 和 1.2%。两组在重要血管疾病数量、中远端节段重要疾病的解剖分布方面非常平衡,在狭窄程度的目测量化为 <50% 或 ≥50% 方面,两组之间也没有差异。

表1:患者基线特征
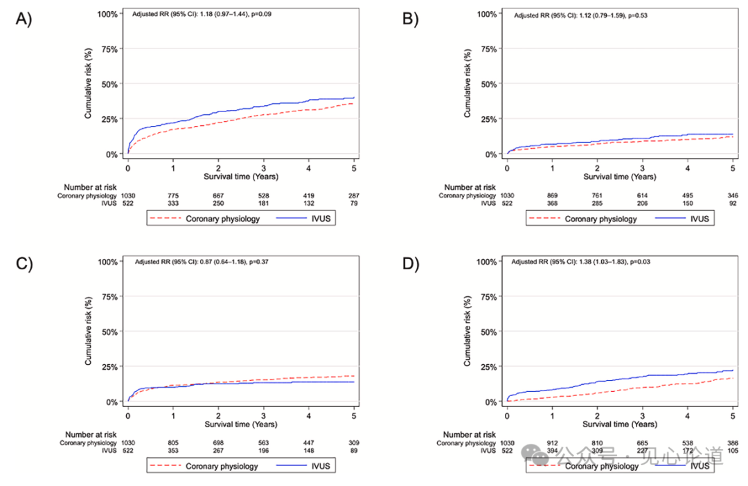
中位随访时间为 2.7 年,无患者失访。5 年时 MACE 的主要结果是 IVUS 组 163 起事件(40.2 %),冠状动脉生理学组 306 起事件(35.5 %)(未调整 RR 1.08;95 % CI 0.90–1.31,p = 0.41)(表2)。调整预先指定的混杂因素后,同样也未发现差异(调整 RR 1.18;95 % CI 0.97–1.44,p =0.09)。将 IVUS 与 iFR 或 FFR 单独进行比较时,MACE 的主要结果没有显著差异。MI 和计划外血运重建的次要结果在两组之间也没有差异。
IVUS 组共记录到 80 例死亡(22.4 %),冠状动脉生理学组共记录到 126 例死亡(16.4 %),调整混杂因素后差异有统计学意义(调整后的 RR 1.38;95 % CI 1.03–1.83,p =0.03)。IVUS 与 FFR 之间也存在显著差异(调整后的 RR 1.38;95 % CI 1.02–1.86,p =0.04)。两组之间的心血管死亡率存在显著差异,IVUS 组发生 38 起事件(10.7 %),冠状动脉生理学组发生 49 起事件(6.4 %)(调整后的 RR 1.90;95 % CI 1.23–2.92,p =0.004)。IVUS 和 FFR 之间存在显著差异(调整后的 RR:1.92;95% CI:1.24–2.97;p = 0.003),但 IVUS 和 iFR 之间没有显著差异。非心血管死亡的结果在各组之间没有差异。
图 2 显示了5年内主要结果及其各个组成部分的 Kaplan-Meier 曲线。在主要结果 MACE 方面,各亚组之间没有显著差异。iFR 组和 FFR 组之间的 MACE 或其各个组成部分也没有显著差异。

表2:主要结果和次要结果的结果

图2:主要结果及其各个组成部分的 Kaplan-Meier 图表
结 论
在这项来自 SWEDEHEART 登记处的全国性全人群队列研究中,当使用 IVUS 推迟 LMCA 狭窄进行冠状动脉血运重建时,与通过 iFR 或 FFR 进行冠状动脉生理学相比,长达 5 年的 MACE 无显著差异。然而,二次分析显示,与 IVUS 相比,冠状动脉生理学的全因死亡和心血管死亡显著减少。这是否是由于混杂因素或代表了真正的差异,值得进一步研究。
讨论
该研究是对中等 LMCA 病变血运重建延迟的长期临床结果的最大规模观察性研究,还是第一项比较使用 IVUS 和冠状动脉生理学在 LMCA 中采用 iFR 或 FFR 进行冠状动脉血运重建延迟的研究。在 2.7 年的中位随访期内,IVUS 和 FFR 之间的全因死亡和心血管死亡有所增加,与 iFR 相比,IVUS 相关的死亡率在数值上更高,但这种差异并不具有统计学意义,需要进一步的研究来证实。