健心知著
2025.01.15
第439期

基于深度学习的血管内超声特征对非罪犯血管延迟干预患者的临床影响

刘健、毕鹏飞、霍黎明
北京大学人民医院
健心荐语
目前缺乏冠心病患者非罪犯血管延迟血运重建的长期预后标志物。血管内超声(IVUS)可以有效识别易损斑块,但是该技术有创、受限于术者操作水平,目前尚缺乏探索基于深度学习算法的IVUS病变表征对于非罪犯血管延迟血运重建预测价值的研究。
文章介绍
本研究是一项单中心、病例对照研究,纳入了2010年1月至2019年2月期间韩国首尔峨山医疗中心进行过冠心病患者非罪犯血管腔内影像学评估的患者,旨在明确可以预测不良结局的形态学特征,并验证其临床影响。本文于2024年9月发表于《International Journal of Cardiology》杂志。
研究方法
本研究纳入了该中心冠脉造影血管狭窄程度>40%,且完成至少一条非罪犯血管评估的患者,包括血流储备分数(FFR)和IVUS。排除标准:年龄> 80岁,预期寿命<2年,左室射血分数<40 %,重度心力衰竭,慢性完全闭塞病变,冠状动脉搭桥术后。另外还排除了130例在3年内失访的患者。本研究的主要终点是心源性死亡,次要终点是全因死亡、非致死性心肌梗死、靶血管血运重建、不良心血管事件以及包含心源性死亡、非致死性心梗、靶血管血运重建的复合终点。
研究结果
本研究共纳入了1115例存在非罪犯血管冠脉病变患者的1115条血管。其中,左主干42条(3.8 %),前降支682条(61.2 %),回旋支112条(10.1 %),右冠311条(27.9 %)。IVUS测得的最小管腔面积(MLA)和外弹力膜(EEM)面积中位数分别为2.8(2.2,3.6)mm²和10.9(8.0,14.3)mm²。目标区域(ROI)内MLA和冠脉斑块体积百分比(PAV)的斑块负荷分别为73.4 %(65.8%,78.6%)和49.0 %(43.5%,54.5%)。

表1:纳入人群的基线特征
本研究中位随访时间为71.7(52.3,122.6)个月。随访3年,27例(2.4 %)患者发生了心源性死亡;随访5年,39例(3.5 %)患者发生心源性死亡。心源性死亡组年龄更高(75.3 ± 6.8 vs 62.7 ± 9.5,p < 0.001),高血压(82.5 % vs 61.9 %,p = 0.005),糖尿病(42.5 % vs 28.8 %,p = 0.049),充血性心力衰竭(10.0 % vs 0.8 %,p = 0.001),慢性肾脏病(15.0 % vs 0.9 %,p < 0.001)患病率也更高。两组患者 5 年随访时的血管类型、FFR、是否植入支架均无统计学差异(p > 0.05)。
5年随访,最大衰减负荷指数(ABPmax)≥11.37% 患者,与<11.37%的患者相比,无心源性死亡生存率显著降低(90.0% vs 98.7%,p<0.01);最大钙负荷指数(CBImax)≥13.40%和CBImax<13.40%患者相比,无心脏死亡生存率也显著降低(92.8 %vs98.4 %,p<0.01);冠脉斑块负荷(PAV)≥51.35 %和< 51.35 %患者相比,无心脏死亡生存率也显著降低(94.0 % vs 97.7%,p<0.01)。
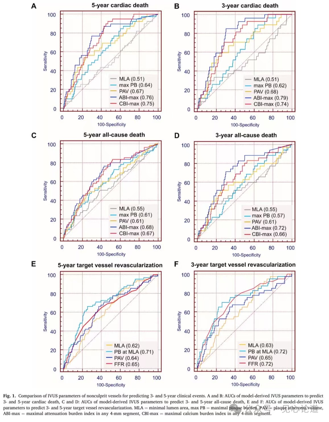
经过单因素、多因素分析,5年随访心源性死亡的独立预测因素是年龄(HR=2.1)、女性(HR=0.33)、心力衰竭史(HR=6.06)、慢性肾病(HR=18.28)以及非罪犯冠脉狭窄患者的高ABI-max(HR=1.04)和CBI-max(HR=1.05)(表 2、表 3 及图 1)。且低FFR(每0.01HR增加0.95)、小MLA(HR=0.63)和高斑块负荷(HR=0.15)是非罪犯性血管随访5年靶血管重建的独立预测因素(表 4)。

表2:5年随访时,是否出现临床结局患者的基于深度学习的IVUS参数比较

表3:非罪犯血管的血流动力学和形态学的ROC分析

图1:非罪犯血管的IVUS参数的ROC曲线

表4:5年不良心脏结局的多因素分析
结 论
在具有非罪犯冠脉病变的患者中,较高的斑块衰减和钙化负荷,是远期死亡率的独立预测因素,IVUS 测量得到的形态学特征与远期再次血运重建相关。因此,对于整根靶血管的基于深度学习的IVUS 分析有助于术者识别高危病变。
讨论
该研究使用了一种基于深度学习的IVUS图像分析技术来预测非罪犯冠脉病变患者的临床结局,并明确了相关的独立预测因子,有助于为冠状动脉疾病的分层评估和临床决策提供依据。但是,该研究还存在一些局限性,首先,本研究是在冠脉狭窄>40%的患者中进行的,忽略了狭窄程度≤40%的非罪犯性冠脉病变患者;其次,本研究只能提供非罪犯冠脉病变临床结局的预测因子,未探索针对高危斑块的治疗方法;此外,本研究为单中心的病例对照研究,证据等级有限,未来研究应着眼于开展多中心的队列研究以及高质量的RCT,并且进一步分析不同人群之中这些预测因子的临床效力,为临床决策提供依据。