健心知著
2024.12.18
第431期

经导管主动脉瓣植入术后五年内测量和预测的人工瓣膜不匹配结果

刘健、柏庚、彭欣
北京大学人民医院
健心荐语
经导管主动脉瓣植入术(TAVI)作为主动脉瓣疾病的治疗方法,已逐渐发展普及为一种常规介入治疗。正常功能的人工瓣膜的有效孔口面积(EOA)相对于患者体表面积(BSA)太小,导致瓣膜残余压力梯度过高时,就会发生人工瓣膜不匹配(PPM)。传统上,TAVI研究通过使用经胸超声心动图(TTE)测量EOA并根据患者的BSA(EOAi)来定义PPM,这种方法被称为测量PPM (PPMM)。而根据已公布的每种类型和大小的瓣膜EOA的正常参考值计算得出的PPM称为预测PPM (PPMP)。既往研究发现经导管主动脉瓣植入 (TAVI) 后的PPM的长期结果数据仍存在争议,导致PPM发生和结果相互矛盾的因素包括经导管瓣膜植入的类型以及手术是首次TAVI还是瓣膜内TAVI (ViV)。多项研究表明,与自膨式瓣膜 (SEV)相比,球囊扩张瓣膜 (BEV) 的总体和严重 PPM 发病率更高,而 ViV TAVI 的发病率也高于首次TAVI。因此,本研究旨在评估PPMM和PPMP与接受首次TAVI患者长期临床结果的关系。本研究于2024年11月发表于The American journal of cardiology杂志。
研究方法
本研究回顾性分析纳入2012年1月至2021年9月期间在美国德克萨斯州贝勒斯科特怀特医疗系统因原发性重度主动脉瓣狭窄接受 TAVI 治疗的所有患者,排除标准包括接受 ViV TAVI 的患者和术后EOA缺失的患者。根据测量和预测方法的 EOAi,PPM 分为无(EOAi >0.85 cm2/ m2)、中度(0.65 <EOAi ≤0.85 cm2/ m2)、重度(EOAi ≤0.65 cm2/ m2)。对于肥胖患者(体质指数≥30 kg/m2),截止值如下:无(EOAi >0.70 cm2/m2)、中度(0.55 <EOAi ≤0.70 cm2/ m2)、重度(EOAi ≤0.55 cm2/ m2)。所有基线临床、超声心动图和手术特征均通过患者的电子病历获得,主要终点是 TAVI 后 5 年全因死亡率。次要终点包括球囊扩张式和自膨式 TAVI 后的5年全因死亡率以及PPMM和PPMP与血流动力学结果(残余经瓣膜压力梯度和术后主动脉瓣反流)的关联。
研究结果
该研究纳入了3,016名患者,2,260名 (74.9%) 患者使用了BEV,756名 (25.1%) 患者使用了 SEV。总体而言,平均年龄为80岁(73至 86 岁),55.6% 的患者为男性。肥胖患者(体重指数 ≥30 kg/m2)占总人口的 37%。接受 SEV 治疗的患者具有更高的胸外科医师协会评分(5.69 vs 4.3%,p <0.001)和更大的平均植入瓣膜尺寸(29 vs 26 mm,p <0.001)。
在调整肥胖后,测量的 EOAi总体和严重 PPM 的发生率分别为 25.3% 和 6.3%;而预测的EOAi总体和严重 PPM 的发生率分别降至 21.8% 和 0.8%(表1)。因此,测量的 EOAi 的 PPM 发生率明显高于预测的 EOAi。

表1:根据测量值与预测值的 EOA 计算 PPM 发生率
图1和表2显示了根据经导管瓣膜类型划分的 PPMM 和 PPMP 发生率。BEV 的总体和严重 PPMM 发生率明显高于 SEV(分别为 27.8% vs 17.7%,p <0.001;6.6% vs 5.3%,p = 0.023)。虽然 BEV 的总体 PPMP 发生率明显较高(26.6% vs 7.4%,p <0.001),但两组的严重 PPMP 发生率相当(0.22% vs 2.5%,p = 0.233)。中度和重度 PPMP和PPMM都是高残余平均压力梯度 (≥20 mm Hg)。但两种方法均未证明在统计学上优于另一种(表3)。无论使用何种方法定义 PPM,重度和非重度 PPM 的术后中度或重度主动脉瓣反流发生率均无显著差异。

图1:TAVI后PPMM和PPMP的发生率和长期生存率TAVI 后根据定义和严重程度划分的 PPM 发生率,按瓣膜类型分层(A)以及根据 PPM 定义和严重程度划分的全因死亡率累积事件曲线(B)。

表2:根据经导管瓣膜类型划分的 PPM 发病率

表3:预测和测量 PPM 预测高残余平均压力梯度(≥20 mm Hg)的能力
图1和表4总结了根据PPM定义和严重程度计算的首次TAVI后30天、1年和5年的生存率,总体人群的平均随访时间为 37.5±18 个月。中度 PPMM 患者与无 PPMM 患者(55% vs 53%,p = 0.594)、重度 PPMM 患者与无 PPMM 患者(46% vs 53%,p = 0.095)以及总体 PPMM 患者与无 PPMM 患者(52% vs 53%,p = 0.259)的 5 年生存率没有显著差异。中度 PPMP 患者与无 PPMP 患者(55% vs 53%,p = 0.227)、重度 PPMP 患者与无 PPMP 患者(67% vs 53%,p = 0.954)以及总体 PPMP 患者与无 PPMP 患者(55% vs 53%,p = 0.232)的 5 年生存率没有显著差异。

表4:根据 PPM 定义和严重程度计算的生存率
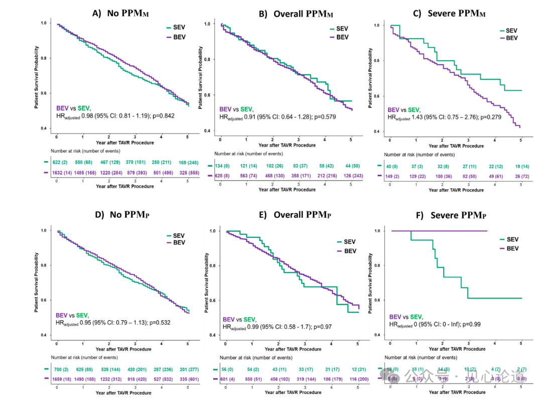
图 2 和表 5 总结了根据 PPM 定义和严重程度的 BEV 与 SEV 后 30 天、1 年和 5 年生存率。5 年随访中,BEV 患者总体和重度 PPMM 的生存率为 51% 和 39%,SEV 患者总体和重度 PPMM 的生存率为 57% 和 63%。但差异不具有统计学意义。BEV 患者与 SEV 患者总体 PPMP 的生存率也没有显著差异(55% vs 53%,p = 0.97)。

图2:BEV 和 SEV 后的生存率 K-M曲线,按 PPM 定义和严重程度分层
(A)、(B) 和 (C) 根据 PPMM 计算的存活率。(D)、(E) 和 (F) 根据 PPMP 计算的存活率。结果根据患者年龄、性别、高手术风险状态、低流量状态和非经股动脉入路进行了调整。

表5:根据 PPM 定义和严重程度,BEV 与 SEV 的生存率
图 3 和表 6 总结了残余平均压力梯度低于和高于 20 mm Hg 的患者的 30 天、1 年和 5 年存活率。无论他们患有重度 PPMM 还是重度 PPMP,残余压力梯度 <20 mm Hg 的患者与残余压力梯度≥20 mm Hg 的患者之间的 5 年存活率并无差异(53% vs 67%,p = 0.839)。同样,残余压力梯度 <20 mm Hg 的重度 PPMM 患者和残余压力梯度≥20 mm Hg 的重度 PPMM 患者之间的 5 年存活率也无差异(45% vs 53%,p = 0.386)。在研究期间,严重 PPMP 和残余压力梯度 <20 mm Hg 的患者的生存率与严重 PPMP 和残余压力梯度≥20 mm Hg 的患者的生存率相当 (p = 0.99)。

图3:根据残余压力梯度的生存率的 K-M曲线

表6:根据残余平均压力梯度计算的存活率
结 论
在这项大型医疗保健系统分析中,严重 PPMP 和严重 PPMM 均与 5 年全因死亡率无关。无论 PPM 的定义或严重程度如何,BEV 和 SEV 在死亡率方面没有差异。
讨论
该研究是临床试验之外规模最大的现实世界研究,旨在研究预测和测量的 PPM对按经导管瓣膜类型分层的长期结果的影响。但在本研究中,尽管考虑了多种因素(随访时间、瓣膜类型、百万分率的真实发生率、首次TAVI vs ViV TAVI),却仍无法在全队列和亚队列中建立PPMP与长期预后之间的关联。一种解释是在应用更严格和准确的方法来识别真正的 PPM 后,首次TAVI 后严重 PPMP 的发生率几乎为零(0.8%)。因此,用于定义 PPM 的两种方法(预测和测量的 EOA)对于研究 PPM 对 TAVI 后临床结果的长期影响都不是最佳选择,需要制定更强大的 PPM 标准化定义,以研究 PPM 对 TAVI 后结果的长期影响。