健心知著
2021.04.07
第51期

评估冠状动脉血流储备的新方法:连续热稀释法

刘健、林海淼、孙浩宁
北京大学人民医院
健心荐语
冠状动脉血流储备(CFR)是评价冠状动脉血流的主要指标,被定义为最大充血状态下冠脉血流量与静息状态下的冠状动脉绝对血流量(Absolute Coronary Flow,AF)之比,通常使用冠脉内多普勒超声(CFRDoppler)或生理盐水热稀释法(CFRthermo-bolus)进行有创性测量操作,较为复杂。目前,一种新的方法,即通过连续输注生理盐水的热稀释法,被报道用于定量分析冠状动脉绝对血流量(AF)和心肌阻力(MR)。该技术具有不依赖操作者、不需要腺苷诱发充血且重复性高的特点,但仅在测量静息AF方面得到验证。
文章介绍
本研究旨在评估连续热稀释法在测量静息AF时的可行性,本文于2020年11月18日发表于美国心脏病学杂志。
研究方法
本研究纳入了在2个大容量学院中心中接受了有创性微循环功能评估的62名连续患者。所有纳入试验的患者均具有行冠脉造影的临床指证,但无明显的冠脉狭窄(狭窄<40%或FFR>0.8)。入组患者被分为两组,在组1(n=27)中,通过对患者进行不同速度的盐水输注(6、8、18、12ml/min)以确定不会导致微血管扩张并可用于估算基础流量的输注速度;在组2(n=48,其中包括组1中13例患者)中分别以10ml/min(静息AF)和20ml/min(充血AF)的速度进行盐水输注,并进行常规的热稀释测量,通过CoroFlow控制台对测量数据进行离线处理,并由BARCICORE实验室对热稀释曲线进行离线分析。在输注前、输注时、输注后记录Pd/Pa(通过压力导丝测量得到的冠脉狭窄远端平均压力与主动脉根部或冠脉开口部平均压力的比值)。在本研究中,CFRThermo-infusion为充血AF与静息AF的比值。
研究结果
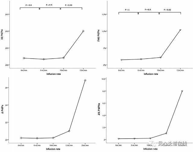
基线Pd/Pa在流速为6mL/min(0.15±0.2%),8mL/min(0.17±0.18%)和10mL/min(0.2±0.12%)时无明显降低(p=NS),表明血管在流速≤10mL/min时未发生充血。而基线Pd/Pa在12mL/min时出现显著降低(1.3±1.5%,p<0.01),且AF在12mL/min相比10mL/min显著升高(31.4±28.1ml,p<0.05)。将所有流速为10mL/min(129/129,100%)的曲线分别与6mL/min(7/15,53%)和8mL/min(15/18,17%)的曲线进行比较,证明10mL/min的输注速度可用于测定静息AF。

图示:当盐水输注速度≤10 mL/min时,Pd/Pa保持不变,表明未发生充血(p=NS)
输注速度为10mL/min时,平均CFRThermo-infusion为,2.56±0.9CFRthermo-bolus为2.49±1,这两个参数之间具有良好的相关性(r=0.76,p<0.001)和组内一致性(ICC=0.76,p<0.001)。

图示:CFR(热稀释-输注)与CFR(热稀释-注射)相关性高(r=0.76,p<0.001)
结 论
速率为10mL/min的连续热稀释法可用于测量静息状态的AF,具有可行性和可靠性,为测定冠脉血流储备提供了一种新的临床工具。
点 评
连续热稀释法具有操作独立、简便、不需要扩血管药物等优点,可以较为方便对CFR进行测定。本研究的结果显示,这种测定方式与既往的有创性测定方式之间具有很强的相关性,为CFR的测定提供了新的方向。但是这种方法对于技术要求较高,具有观察者差异。