健心知著
2021.06.04
第68期

严重钙化病变行旋磨术或改良球囊预处理,疗效无明显差异

刘健、林海淼、杨霖健
北京大学人民医院
健心荐语
冠状动脉的钙化病变会影响经皮冠状动脉介入治疗(PCI)术中支架的传送与扩张,并与PCI术后的不良临床结局有相关性。为了提高手术成功率并改善临床结局,在对冠状动脉的钙化病变行PCI时,通常需要对钙化病变提前进行球囊扩张或腔内斑块旋切的预处理操作。但目前尚无相关研究通过腔内影像学手段比较严重钙化病变不同预处理方式的治疗效果。
文章介绍
本研究旨在评估在严重钙化病变的预处理过程中,使用改良(切割/刻痕)球囊(Modified Balloons,MB)与旋磨术(Rotational Atherectomy,RA)对后续支架扩张的影响;以及通过光学相关断层扫描(Optical Coherence Tomography ,OCT)评估得到的钙化斑块负荷与支架即刻性能的相关性。本研究为PREPARE-CLAC试验的OCT亚组研究,于2021年3月发表于Circulation:Cardiovascular Interventions。
研究方法
PREPARE-CALC试验(比较严重钙化病变的不同预处理操作)是一项前瞻性的随机对照试验,纳入了2014年9月至2017年10月间在德国的2家大型介入研究中心的200例严重钙化冠脉病变的患者,并将其随机分配为两组,分别接受MB或RA的预处理操作。其中,122例患者在预处理前及手术结束后进行了OCT。在OCT亚组分析中,其主要终点是经OCT评估得到的支架膨胀率,次要终点包括:支架不对称和偏心。
研究结果
MB组与RA组在最大钙化角度(257.5±96.70 vs 248.7±82.19,P=0.59)、钙化厚度(1.34±0.29 vs 1.32±0.27 mm, P=0.76)及钙化长度(21.1±9.7 vs 24.0±10.9 mm, P=0.12)这三个参数之间无显著差异。

图1:MB与RA组的钙化斑块相关参数无明显差异
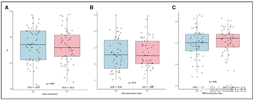
且两组的支架膨胀率(73.5±13.3% vs 73.1±12.2%,P=0.85)、支架不对称指数及偏心指数也没有统计学差异。

图2:MB与RA组的支架膨胀率、支架不对称指数及偏心指数没有统计学差异
在支架膨胀不全(支架膨胀率<80%)的患者中,钙化斑块的长度较长,而在支架不对称(支架不对称指数>0.3)的患者中,钙化斑块的厚度较大。MB组与RA组的9个月时靶病变血运重建率无显著差异(3.3% vs 1.6%, P=0.62)。

图3:支架膨胀不全的斑块长度较大,支架不对称的斑块厚度较大
结 论
在这项来自PREPARED - CALC试验的OCT亚组分析中,通过旋磨或改良球囊进行预处理后的支架膨胀率、不对称及偏心率无明显差异。支架膨胀不全的患者钙化斑块长度较大,而支架不对称患者的钙化斑块厚度较大。
点评
该研究结果提示:大部分具有严重钙化病变的患者不能达到目前所推荐的支架膨胀率临界值,即支架膨胀率>80%。因此可以考虑在这种类型病变中设定相对较低的临床支架膨胀率临界值,但这仍需要大量研究进行进一步的探索。
由于该研究的入组患者均为存在严重钙化的患者,根据Fujino等人提出的OCT钙化评分评估多为最高积分层级,因此无法通过该研究验证此评分系统。除此之外,该研究还存在样本量较小,未在预处理操作后、支架置入前对斑块进行系统评估等局限性。如果在这些方面进行进一步研究,将会对钙化病变行PCI提供重要的指导意义。