健心知著
2021.12.24
第126期

计算机断层扫描冠状动脉斑块负荷
与心肌梗死风险的性别特异性

刘健、马承前、郭萌
北京大学人民医院
健心荐语
冠状动脉疾病存在明显的性别差异。男性和女性胸痛患者具有不同的危险因素、症状,冠脉疾病的患病率和预后也不甚相同。冠状动脉计算机断层扫描血管造影(CCTA)定量评估的动脉粥样硬化斑块负荷可以识别有后续心脏事件风险的患者、指导管理并改善预后。其中低衰减斑块负荷可能较好地预测胸痛患者未来心肌梗死的风险。然而女性和男性之间不同类型斑块的负荷是否不同,以及这些斑块负荷的评估是否提供相同的预后信息仍然不确定。
文章介绍
本研究为一项多中心随机对照试验,通过比较冠脉狭窄、斑块特征的性别差异以及对各种类型斑块负荷进行定量评估,探究性别对冠状动脉斑块负荷的影响,以及斑块负荷对不同性别的胸痛患者预后的预测价值。本研究发表于2021年9月的JACC心血管影像子刊。
研究方法
本研究入选了1769名接受CCTA,且图像质量适合分析的患者。上述患者均为疑似冠心病心绞痛的门诊病人。分别对动脉粥样硬化斑块进行定性视觉评估和定量评估。定性评估将冠状动脉分为15个节段,在每个节段的基础上对冠脉狭窄程度和不良斑块特征进行视觉评估。冠脉区域狭窄在视觉上被分为正常、非阻塞性(左主冠脉狭窄程度<50%或其他节段<70%)、阻塞性(左主冠脉狭窄程度≥50%或其他节段≥70%)。不良斑块特征包括正性重构、低衰减斑块、点状钙化和“餐巾环”征。具有上述任意特征的斑块被称为不良斑块。使用标准化半自动软件 Autoplaque计算进行动脉粥样斑块亚型的定量评估。分别计算总斑块负荷和各斑块亚型(包括钙化斑块、非钙化斑块和低衰减非钙化斑块)的负荷。对于视觉评估冠状动脉正常的患者,斑块负荷设置为零。低衰减斑块被定义为低于 30 HU。研究的主要终点事件是致死性和非致死性心肌梗死。
研究结果
本研究共入选 1,769 名患者,其中772 名 (43%) 是女性。相比于男性,女性的冠状动脉钙化评分较低(0 [IQI: 0 to 54] vs. 80 [IQI: 0 to 447]; p < 0.001),拥有正常冠状动脉的可能性大。不良斑块特征(正性重构、低衰减斑块、点状钙化和餐巾环征)在女性的发生率较低(20% vs. 45%; p < 0.001)。
定量评估中,女性的总斑块负荷(22.7% vs. 44.3%; p < 0.001)以及所有斑块亚型的负荷均较低。并且低衰减斑块负荷 >4% 的可能性较小(n = 315, 41% vs. n = 591, 59%; p < 0.001)。然而,在视觉评估的非阻塞性和阻塞性冠状动脉疾病患者中,女性和男性之间非钙化斑块和低衰减斑块负荷的定量评估没有差异。
在4.7 年的中位随访时间中,11名女性 (1.4%) 和30 名男性 (3%) 发生了主要终点事件(致死性或非致死性心肌梗死 MI)。在MI 患者中,女性的总斑块、非钙化斑块和低衰减斑块负荷与男性相似,但女性的钙化斑块负荷更低(1.6vs4.6;p=0.027)。

图1:发生或未发生心脏终点事件(致死或非致死性心肌梗死)患者的斑块负荷的性别差异
多变量分析中,低衰减斑块负荷是MI的独立预测因子(HR: 1.71; 95% CI: 1.22 to 2.39; p = 0.002),且与视觉评估的阻塞性疾病、心血管风险评分和性别均无关。

图2(D):多变量分析的结果在该模型中,低衰减斑块负荷是随后发生致死性或非致死性心肌梗死的预测因子,独立于性别、CCTA上是否存在阻塞性疾病和心血管风险评分。
低衰减斑块对女性(AUC: 0.77; 95% CI: 0.65 to 0.90)和男性(AUC: 0.68; 95% CI: 0.58 to 0.77; p = 0.346)的后续心脏事件具有相似的预测作用。低衰减斑块负荷>4%与女性致死性或非致死性MI风险增加6倍相关。

图3:男性和女性低衰减斑块的预测能力受试者工作曲线(ROC)显示低衰减斑块预测男性(绿色)和女性(红色)致死性或非致死性心肌梗死的能力。

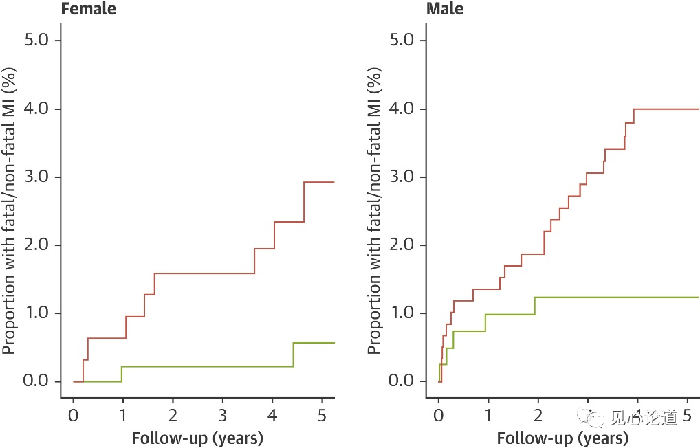
图4:男性和女性低衰减斑块和致死性或非致死性心肌梗死男性和女性在低衰减斑块负荷>4%(红色)和低衰减斑块≤4%(绿色)之间致命或非致命心肌梗死的累积发生率的差异。
结 论
无论何种性别,斑块的定量评估都是心脏终点事件的可靠预测指标。低衰减斑块是女性和男性MI的强预测因子。
点评
本研究的主要发现是,疑似冠心病心绞痛的门诊患者中,女性患者的斑块负荷比男性低。而在随后发生 MI 的患者中,女性患者的钙化斑块负荷较男性低,但其他斑块亚型的斑块负荷相似。低衰减斑块负荷是女性和男性发生MI 的强预测因子,它比心血管风险评分、性别或阻塞性冠状动脉疾病的存在与严重程度更能有效预测临床事件。
在本研究的基础上,未来的研究可以在其他临床情况下评估上述发现,例如斑块负荷在急性胸痛和无症状患者中对后续心脏事件的预测价值。此外,还需要进行研究来评估药物使用引起的斑块类型变化是否会导致临床结果的改善。最后,本研究由于终点事件的发生率较低(女性1.4%,男性3%),因此可能存在一定的偏倚,仍需更多研究进一步验证。